Derivera exponentialfunktion med produktregel
Hej! Jag håller på och gnetar med en uppgift som lyder såhär:
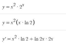
Du har funktionen y = x^2*2^x. För vilka x-värden är y'=0?
Jag har inte kommit så långt än, håller på med funktionen fortfarande. Har provat lite olika och tänkt att detta är lättast sätt, att använda logaritmlagen för att få ner x?

Jag vill få det till:

Är jag på rätt väg?
Tack på förhand!
Nja,
Hondel skrev:Nja,
Lite utförligare:
Hondel skrev:Nja,
Tänkte precis be dig utveckla lite! Jag är totalt körd när det gäller logaritmer, får inte in det, bläddrar sönder min formelsamling. Min formelsamling säger att y=a^x har y'=a^x ln a. Det är väl det det kommer fram till om man fortsätter på de funktioner du ger? Tyvärr var dina svar inte så hjälpsamma. Förvirrade lite mer. Jag provade räkna talet så men ja stötte på patrull då jag fann det svårt.
Hur kommer det sig att jag inte kan använda den logaritmlagen? alltså ta ner exponenten och logaritmera?
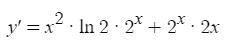
Använd produktregeln:
Det är svårt att veta var det gick fel för dig om du inte visar vad du gjort.
Låt t.ex. och
Då är
och
Derivatorna av och verkar du kunna bestämma själv. Sedan gäller det att sätta ihop det till också!
tomast80 skrev:Använd produktregeln:
Jag gjorde det! :) Virrade bort mig i mängden siffror. Jag gjorde produktregeln där uppe i första inlägget också, även om talet var fel?
Ska prova igen.
Detta fick jag det till först, men jag blir lite yrslig av alla siffror och tecken, vet inte i vilken ordning de ska vara och med alla olika exponenter:
Jroth skrev:Det är svårt att veta var det gick fel för dig om du inte visar vad du gjort.
Låt t.ex. och
Då är
och
Derivatorna av och verkar du kunna bestämma själv. Sedan gäller det att sätta ihop det till också!
Tack! ja, det är precis det där sista jag inte riktigt får ihop, det är så många variabler och jag blir osäker på hur jag ska multiplicera ihop dem!
Nu kan du använda nollproduktregeln för att få fram när y'=0
rebelmania skrev:Hondel skrev:Nja,
Tänkte precis be dig utveckla lite! Jag är totalt körd när det gäller logaritmer, får inte in det, bläddrar sönder min formelsamling. Min formelsamling säger att y=a^x har y'=a^x ln a. Det är väl det det kommer fram till om man fortsätter på de funktioner du ger? Tyvärr var dina svar inte så hjälpsamma. Förvirrade lite mer. Jag provade räkna talet så men ja stötte på patrull då jag fann det svårt.
Hur kommer det sig att jag inte kan använda den logaritmlagen? alltså ta ner exponenten och logaritmera?
Ja, om du deriverar blir det , vilket är samma som om du använt din regel (du sätter bara in a=2).
Du kan inte bara ta logaritmen av en del av uttrycket. din ursprungsfunktion var , men sen räknar du på och det är ju inte samma som du började med, det står ju ett ln som du inte har från början. Man kan liksom inte bara ta logaritmen av en bit av ena sidan hur som helst ;)
Tack för hjälpen! jag gjorde klart den, lite mer fylld av kunskap kring matematiska regler. Haha, jag får väl ta vilken logaritm jag vill, sen kanske det inte blir rätt, vilket är en helt annan historia :D