6
svar
97
visningar
Produktreglen!
"Derivera första term och låt andra stå + låt första stå och derivera andra".
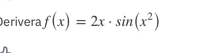
Vi har inte jobbat med produktregeln än i skolan. Så kanske bättre om du ger ett exempel på en fråga som enbart testar kedjeregeln
Soderstrom skrev:
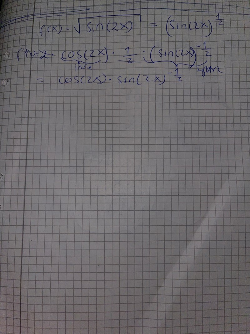
Kan vara att jag gör fel nu pga det är så sent på natten men jag gör ändå mitt försök

Jag gissar på att man även kan förenkla svaret till det här

Ja det stämmer.
Hej! Jag undrar vart jag gör fel