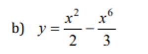
Derivera följande funktion..
Hej!

Läste i en annan tråd att man kunde skriva om till följande: y =
Sen har jag bara fastnat där.
Stämmer!
Nu kan du dervera de tervis.
Notera (står i ditt formelblad, annars kan man visa det enkelt med derivatans def) att
Hej! Tack för snabb svar. Jag förstår hur man ska derivera exempelvis f(x) = 4x2 till f'(x) = 8x men jag listar inte riktigt ut hur jag ska derivera
Precis på samma sätt.
där ,
där
så att
Fick fram det till 2x – 6x5.
Det känns inte rätt.
Nästan, men jag tror bråken kanske får det att se svårare ut.
Vi har ½x², håller du med mig om att ½ är en konstant multiplicerat med ett polynom x²?
Derivatan av x² är 2x, nu multiplicerar vi ihop de:
½(2x)=x.
Nu har vi den andra termen, vad är derivatan av x⁶?
Multiplicera derivatan av x⁶ med konstanten som den multipliceras med, nämligen ⅓, vad får vi då? :)
hm.. tror jag förstår lite mer.
Så det är alltså.. x - 2x5?
Japp, bra jobbat! =)
Dracaena skrev:Japp, bra jobbat! =)
Herregud, jag är så tacksam för din hjälp! Har slitit håret av mig hela dagen över denna.