Derivera funktionen
Behöver hjälp att derivera b uppgiften. Har försökt att lösa med hjälp av kvotregeln men kommer inte fram till något vettigt svar.
Vad har du fått fram för svar med kvotregeln? Har du börjat med att derivera uttrycken i täljare och nämnare separat? Vad blev de? Den metoden minskar risken för slarvfel.
Med kvotregeln fick jag fram detta.
2x • (1+sin(2x) - x^2 • (1•2cosx) / (1+xsin(2x))^2
= 2xsin2x - (x^2 •2x^2 •cosx) / (1+xsin(2x))^2
Sen vet jag inte riktigt hur jag ska fortsätta om det ens är rätt i början.
Hmm, det ser inte riktigt helt rätt ut. Börja med att derivera uttrycken i täljare respektive nämnare separat. Vad blir derivatorna?
Derivatorna blir väl:
2x i täljaren
2cos2x i nämnaren
Edit: får alltså 2cos2x eftersom sin2x är en sammansatt funktion och med kedjeregeln ger den sammansatta funktionens derivata 2cos2x ?
Täljaren är korrekt, nämnaren är fel. Tänk efter vilka deriveringsregler du behöver använda för att derivera . :)
Derivatan av x =1
Derivatan av sin2x = 2cos2x
1•2cos2x =2cos2x
Vad gör jag för fel?
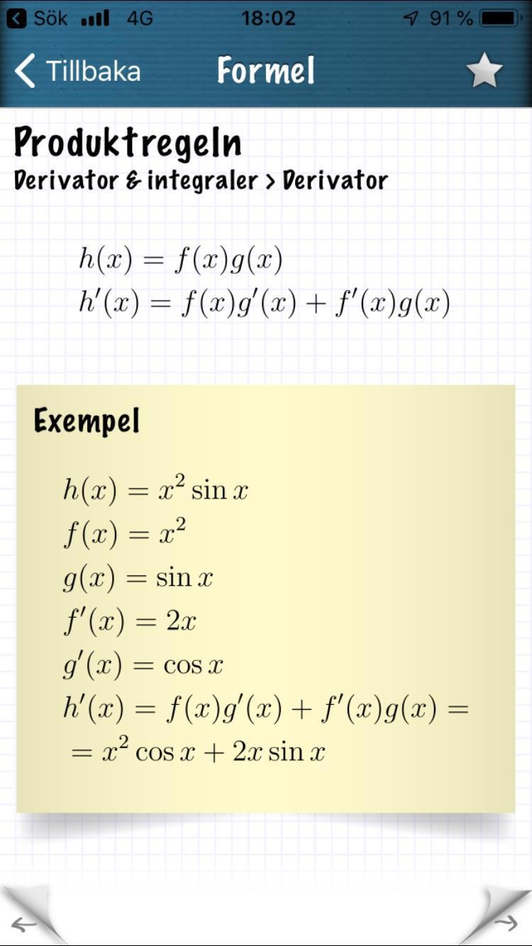
Du måste använda produktregeln!

Aha! Såhär då:
(1•sin2x) + (1• 2cos2x)
= Sin2x + 2cos2x
?
Så:
f' = 2x / sin2x + 2cos2x
Deriveringen av x*sin(2x) är nästan korrekt, förutom att du glömt ett x i den andra termen. Du måste fortfarande använda kvotregeln för att hitta derivatan av kvoten i ursprungsinlägget. :)