4
svar
106
visningar
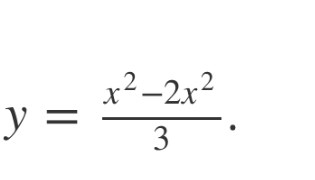
Derivera funktionen f(x)

Varför blir det fel?
så du har egentligen att Sedan ska du ha en parantes om du ska skriva om 3 till , kommer du vidare?
Nej förstår inte vad du menar
, vi kan förenkla täljaren eftersom , därmed kan vi skriva täljaren för som , hänger du med? Din metod blir fel eftersom när du skriver om 3an så missar du en parantes, det gäller inte att utan det blir . hänger du med?
Är det rätt nu?