2 svar
261 visningar
Mackangolf 55 – Fd. Medlem
Postad: 19 sep 2021 14:00 Redigerad: 19 sep 2021 14:25

Derivera invers av en funktion

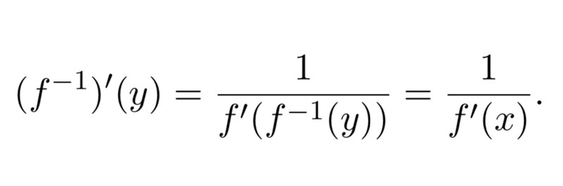
Låt f(x) = arctan(x^2)

 

Frågan är nu att beräkna (f^-1)’(x) utan att ta fram inversen av arctan(x^2).

 

Jag vet att denna identitet finns, men fattar inte hur jag ska använda denJag vet att f’(x) = 2x / (1+x^4)

Fermatrix 7621 – Fd. Medlem
Postad: 19 sep 2021 14:07

Frågan är nu att beräkna f’(x) utan att ta fram inversen av arctan(x^2).

Har du skrivit av rätt nu? Då är det ju bara derviera som vanligt.

Mackangolf 55 – Fd. Medlem
Postad: 19 sep 2021 14:19 Redigerad: 19 sep 2021 14:21

Skrev fel.. det är derivatan av inversen av f(x) som efterfrågas såklart.

Svara
Close