Derivera ln
Har en uppgift som jag inte får rätt.
Facit:
.
Vad blev fel?
När du förkortar i sista steget blir det åtminstone fel (du kan inte dividera bara ena termen med rotuttrycket i nämnaren), men jag har svårt att hänga med innan det också så det är troligt att det blir fel ännu tidigare. Jag får samma svar som facit när jag räknar.
Ett tips för att minska risken för slarvfel när du deriverar rotyttryck och kvoter är att skriva allt som en produkt av potensuttryck, dvs , och bara använda produktregeln och kedjeregeln. Jag tycker i alla fall att det bli väldigt mycket tydligare.
Glöm inte att derivatan av |x| inte är 1 utan sign(x) = x/|x| (dvs 1 för x>0, -1 för x<0, odefinierat för x=0)
haraldfreij skrev:När du förkortar i sista steget blir det åtminstone fel (du kan inte dividera bara ena termen med rotuttrycket i nämnaren), men jag har svårt att hänga med innan det också så det är troligt att det blir fel ännu tidigare. Jag får samma svar som facit när jag räknar.
Hej och tack för svaret! Jag har förkortat på båda sidor,

men jag tror att det är nog best att göra en till försök imorgon...
Glöm inte att derivatan av |x| inte är 1 utan sign(x) = x/|x| (dvs 1 för x>0, -1 för x<0, odefinierat för x=0)
Men hur gör man för att derivera, man vet ju inte om det är positiv eller negativ?
EDIT: Nu har jag fattat den här grejen: ''derivatan av |x| inte är 1 utan sign(x) = x/|x| (dvs 1 för x>0, -1 för x<0, odefinierat för x=0)''
Jag har aldrig sett det förut! Fick den igenom att derivera !
dajamanté skrev:Har en uppgift som jag inte får rätt.
(3)
Facit:
.
Vad blev fel?
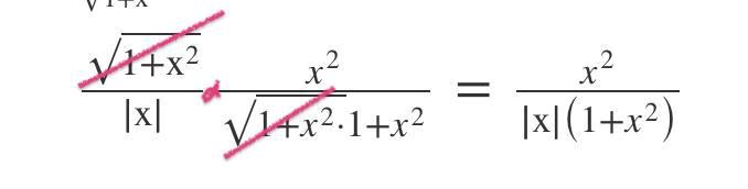
Oklart om detta är problemet, men på rad tre har jag två frågor:
1. Hur förkortar du bort det röda x:et?
2. Vad står det i den blå texten? Är det plus? Minus? Gånger?
Smutstvätt skrev:1. Hur förkortar du bort det röda x:et?
Jag tror jag förkortade bort den mot på mitt papper, som jag glömde skriva ner där.
2. Vad står det i den blå texten? Är det plus? Minus? Gånger?
Gånger, det var derivata av , innan jag fick veta att det var som borde stå istället.
Hmm det ser inte lysande ut.
Det kommer att bli en trött dag idag.
Kan jag förkorta bort vs i uttrycket ?
Du kan använda |x|²=x², och förkorta bort ett x från täljare och nämnare. Då får du samma svar som facit.
Just det, det är ju samma sak när det är negativ.
Av nåt anledning känner jag mig intimiderad av absolutbelopp!
Tackar!