1
svar
70
visningar
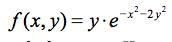
Derivera med avseende på X (f'x, f''xx) och Y (f'y,f''yy)

Jag vet att när man ska ha f'x, f''xx samt f'y, f''yy ska man derivera med avseende på X resp Y.
f'x= -3x2ye-x^2-2y^2
f''xx= 9x4ye-x^2-2y^2
f'y= e-x^2-2y^2-4y2e-x^2-2y^2
f''yy=-4ye-x^2-2y^2-8ye-x^2-2y^2+4y3e-x^2-2y^2
Jag vet att detta är fel få f''xy inte är samma som f''yx men jag vet inte vad jag gör för fel.
Tacksam för hjälp.
Välkommen till Pluggakuten!
Vad jag kan se har du varken beräknat f''xy eller f''yx, så det är inte lätt för oss att gissa vad du möjligen har gjort för fel på dem.
Hur gjorde du när du tog fram derivatan f'(x)? Jag får det till . Inre derivatan av borde vara -2x, inte -3x2.