Derivera med derivatans definition
Har börjat med denna uppgift men fastnar vid förenklingen, hur tar jag mig vidare?

Multiplicera täljare och nämnare med (2x+2h+1)(2x+1).
Då blir du av med nämnarna i täljaren.
Okej tack, men i nämnaren får jag till exempel detta tal som jag tycker blir klurigt att multiplicera. Hur kan man gå till väga på ett smidigt sätt?
kaffedrickaren skrev:
Okej tack, men i nämnaren får jag till exempel detta tal som jag tycker blir klurigt att multiplicera. Hur kan man gå till väga på ett smidigt sätt?
Det borde du inte ha fått. Visa huru du har gjort för att komma dit, så kan vi hjälpa dig att hitta var det har blivit fel.
Jag skriver bara uttrycket, utan limes, för jag är lite lat.
Förenkla täljaren, förkorta bort h, låt h gå mot 0. Kommer du vidare?
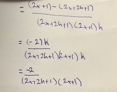
Jag har börjat och förenkla och får följande svar men det blir inte rätt.. 
Jo men det är bra. Nu går det att sätta h till noll utan att det blir division med noll.
Laguna skrev:Jo men det är bra. Nu går det att sätta h till noll utan att det blir division med noll.
Tack!!
Okej tack, men i nämnaren får jag till exempel detta tal som jag tycker blir klurigt att multiplicera. Hur kan man gå till väga på ett smidigt sätt?