Derivera med parentes

Hej jag fattar inte hur man ska derivera det här.
Det första jag gjorde var att skriva uttryck som är
Jag försökte på olika sätt att förenkla den men svaret blev fel hela tiden fattar inte vad jag gör för fel.
Försök 1:
om jag deriverar borde det inte bli ? Hur går jag därifrån
Försök 2:
Svaret är 256dm^3
Men jag behöver bara hjälp med hur jag ska derivera/förenkla uttrycket
tack
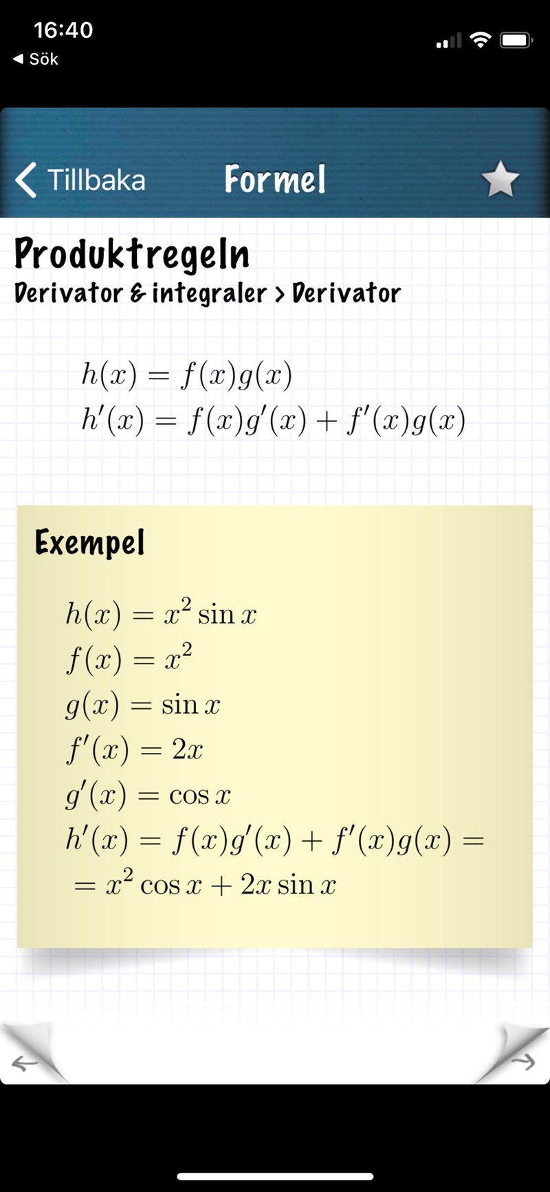
Skriv det som: och tillämpa produktregeln.

tomast80 skrev:Skriv det som: och tillämpa produktregeln.
Finns det inget annat sätt att lösa det här utan att använda trigonometri? Det blev bara mer komplicerat med cos och sin
x(12-x)2 kan du ber med kvadreringsregeln, mult sen med x så får du ett polynom av grad 3 som du kan derivera.
Nej trigonometri har inget med det här att göra, det var bara ett exempel för att illustrera produktregeln
Ture skrev:x(12-x)2 kan du ber med kvadreringsregeln, mult sen med x så får du ett polynom av grad 3 som du kan derivera.
Nej trigonometri har inget med det här att göra, det var bara ett exempel för att illustrera produktregeln
Ja, är möjligen enklare att multiplicera ihop allt istället för att tillämpa produktregeln, prova gärna båda metoderna för att se att de ger samma resultat.
Hej och välkommen till Pluggakuten!
En utökning av produktregeln till tre faktorer lyder (fgh)' = f'gh + fg'h + fgh'.
===========
Det följer direkt av följande:
(fgh)' = (f(gh))' = f'(gh) + f(gh)' = f'(gh) + f(g'h + gh') = f'gh + fg'h + fgh'.
tomast80 skrev:Skriv det som: och tillämpa produktregeln.
Produktregeln lär man sig inte förrän i Ma4, och den här tråden ligger i Ma3. Man måste allstå lösa uppgiften utan att använda produktregeln.
OK då är det nog ihopmultiplicering till ett tredjegradsuttryck som gäller.
Ture skrev:x(12-x)2 kan du ber med kvadreringsregeln, mult sen med x så får du ett polynom av grad 3 som du kan derivera.
Nej trigonometri har inget med det här att göra, det var bara ett exempel för att illustrera produktregeln
Tack! detta hjälpte mig jag använde pq-formlen efter