2
svar
114
visningar
pluggare77 behöver inte mer hjälp
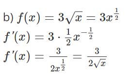
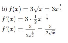
Derivera potensfunktioner
Hur kan 3* 1/2x^-1/2 bli = 3/ 2x^1/2?
När jag räknar ut det blir det = 1,5x^1/2. Vad gör jag för fel?
Du missar minustecknet i exponenten.
pluggare77 skrev:Hur kan 3* 1/2x^-1/2 bli = 3/ 2x^1/2?
När jag räknar ut det blir det = 1,5x^1/2. Vad gör jag för fel?
Jag fick till det. Tack för hjälpen
