Derivera två funktioner
Hej!
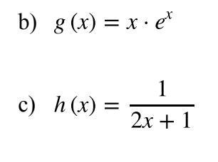
Jag har fastnat på två uppgifter där jag ska derivera funktioner.
Funktionerna ser ut såhär:

Har försökt att kolla i mitt formelblad men kommer inte framåt.
Tack på förhand!
Vilken formelblad använder du?
I b) kan du använda produktmetoden för att derivera!
Juste! Hade helt glömt av produktmetoden! Ska testa den på b) och se om jag får fram rätt svar!
Det formelblad jag använder ser ut såhär:

I b) använder du regeln för derivatan av en produkt
Se https://www.matteboken.se/lektioner/matte-4/derivata-och-differentialekvationer/derivatan-av-en-produkt
I a) kan du använda regeln för derivatan av en kvot
Se https://www.matteboken.se/lektioner/matte-4/derivata-och-differentialekvationer/derivatan-av-en-kvot
Eller skriva om den så här: h(x)=och använda regeln för derivatan av en sammansatt funktion
Jag löste b) uppgiften och ska testa att använda mig av regeln för derivatan för en kvot på c)!
I c) kan du också (med fördel) använda kedjeregeln
Se https://www.formelsamlingen.se/alla-amnen/matematik/differential-och-integralkalkyl/kedjeregeln
Löste båda uppgifterna! Tack så jättemycket för påminnelsen av produktmetoden och kvotmetoden!