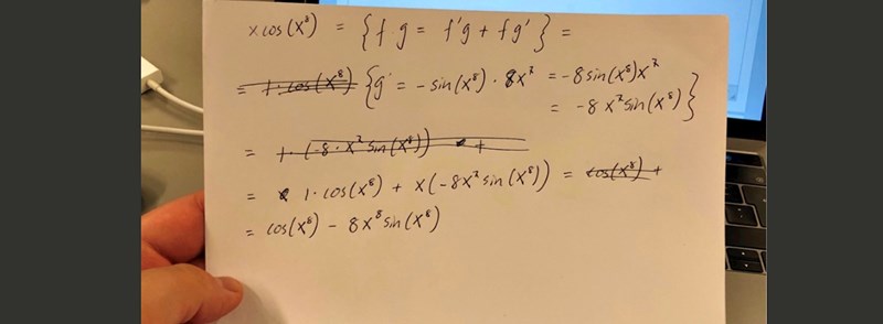
Deriverar funktionen

MIn egen försök:
Var har ja gjort fel?
Du har gjort helt rätt.
Ett av xen i facitet betyder kanske gånger, alltså det som är mellan 8x^8 och sin(x^8).
Annars har facitet fel.
Vad blir inrederivatan av ? :)
Smutstvätt skrev:Vad blir inrederivatan av ? :)
Marcus N skrev:Smutstvätt skrev:Vad blir inrederivatan av ? :)
Precis! I din derivering har du använt . :)
Smutstvätt skrev:Marcus N skrev:Smutstvätt skrev:Vad blir inrederivatan av ? :)
Precis! I din derivering har du använt . :)
Nej!
Marcus har använt 8x^7 och sen när det ska multipliceras med x så blev det 8x^8.
Mohammad Abdalla skrev:Smutstvätt skrev:Marcus N skrev:Smutstvätt skrev:Vad blir inrederivatan av ? :)
Precis! I din derivering har du använt . :)
Nej!
Marcus har använt 8x^7 och sen när det ska multipliceras med x så blev det 8x^8.
Nej? Eller läser jag fel? Det står
-8x^8xsin(x^8)
Vilket jag tolkar som . Med inrederivatan borde denna term bli ?
Smutstvätt skrev:Mohammad Abdalla skrev:Smutstvätt skrev:Marcus N skrev:Smutstvätt skrev:Vad blir inrederivatan av ? :)
Precis! I din derivering har du använt . :)
Nej!
Marcus har använt 8x^7 och sen när det ska multipliceras med x så blev det 8x^8.
Nej? Eller läser jag fel? Det står
-8x^8xsin(x^8)
Vilket jag tolkar som . Med inrederivatan borde denna term bli ?
Du läser svaret. Marcus ska derivera xcos(x^8)

Jag ser nu att jag glömde att ta hänsyn till x-faktorn. Jag beklagar, du har helt rätt. :(