3
svar
105
visningar
Marcus N behöver inte mer hjälp
Deriverar funktionen_2
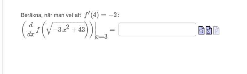
Jag behöver hjälp med denna uppgiften:

Min försök:

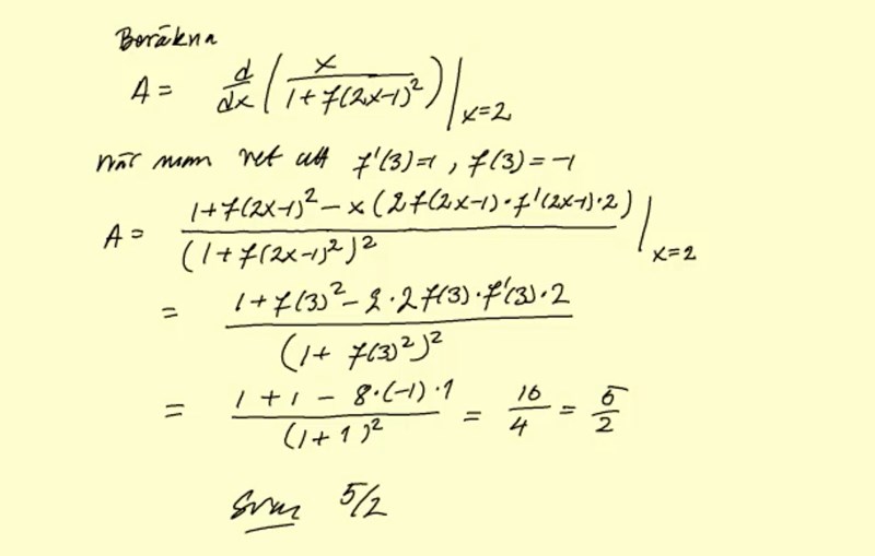
En liknande exempel:

Jag har absolut ingen aning om hur ja ska fortsätta.
Du har börjat rätt. Du har beräknat inre derivatan. Där ska byta ut x mot 3 och sen ska du multiplicera svaret med .

Det siffra som ja kommer fram till är fel.

Marcus N skrev:Jag behöver hjälp med denna uppgiften:
Min försök:
Du har glömt att multiplicera med 1/2. Det ska stå -3x i täljaren.