5 svar
133 visningar
ozium behöver inte mer hjälp
ozium 18
Postad: 26 okt 2022 22:29

Deriverbar funktion

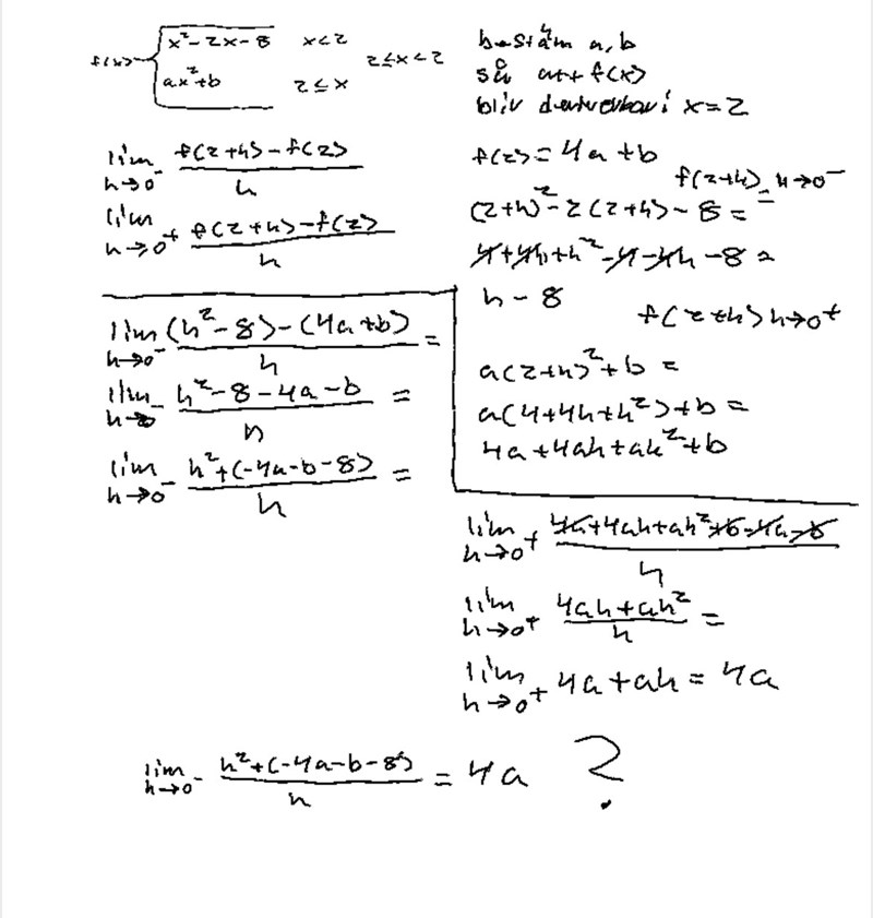
Hej jag förstår inte hur jag kommer vidare i den här uppgiften, jag har tittat på höger och vänstergränsvärde men jag vet inte hur jag skall lösa ut a och b? . Jag tror att uttrycken i a och b behöver vara 0 i båda gränsvärdena för att gränsvärdet skall existera men sen kommer jag inte vidare

Laguna Online 31740
Postad: 26 okt 2022 22:43

Jag skulle bara använda de kända deriveringsreglerna för x och x2.

ozium 18
Postad: 27 okt 2022 07:39

Istället för att titta på höger och vänstergränsvärderna? Bara använda 2x-2 och 2xa direkt på något sätt?

ozium 18
Postad: 27 okt 2022 20:49

försökte med att sätta in x=2 och derivera istället men fastnar på sista gränsvärdet ?

Yngve Online 42361
Postad: 27 okt 2022 22:02 Redigerad: 27 okt 2022 22:32

Jag antar att uppgiften gäller att bestämma värden på a och b så att f(x) är deriverbar överallt?

ozium skrev:

Istället för att titta på höger och vänstergränsvärderna? Bara använda 2x-2 och 2xa direkt på något sätt?

I så fall ja. Eftersom f(x) =

  • x2-2x-8 då x < 2
  • ax2+b då x \geq 2

så är f'(x) =

  • 2x-2 då x < 2
  • 2ax d0 x \geq 2

Kommer du vidare då?

Om inte, klicka här

Välj a och b så att både f(x) och f'(x) är kontinuerliga vid x = 2

 

ozium 18
Postad: 28 okt 2022 09:39

Ja då har jag löst det , tack

Svara
Close