1
svar
95
visningar
Derivering


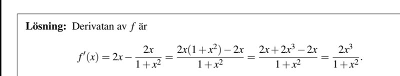
Hej varför multiplicera han täljaren med (1+x^2) på den andra steget?
Man gör liknämnigt.