3
svar
134
visningar
saintana10 behöver inte mer hjälp
Derivering
Hej
Jag håller på med en uppgift i boken och jag förstår inte hur facit kommer fram till ett visst svar
Frågan är:
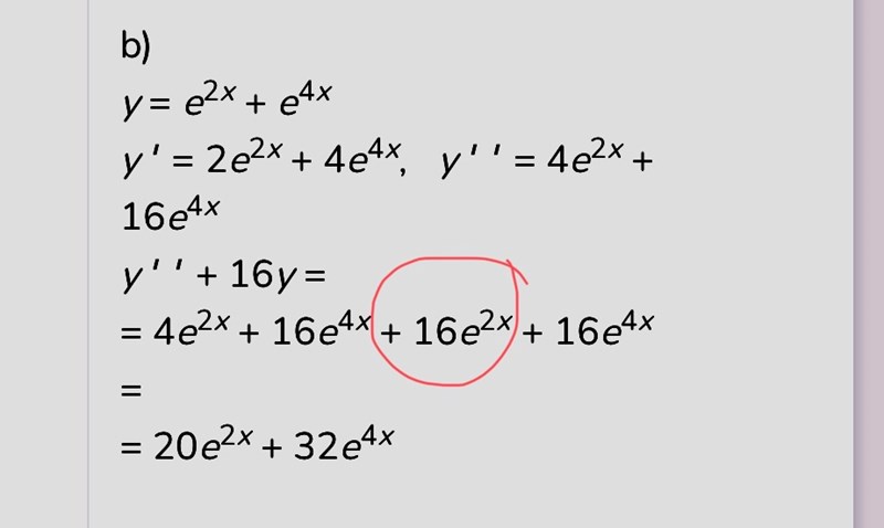
Förenkla y″+16y om y= e2x+e4x
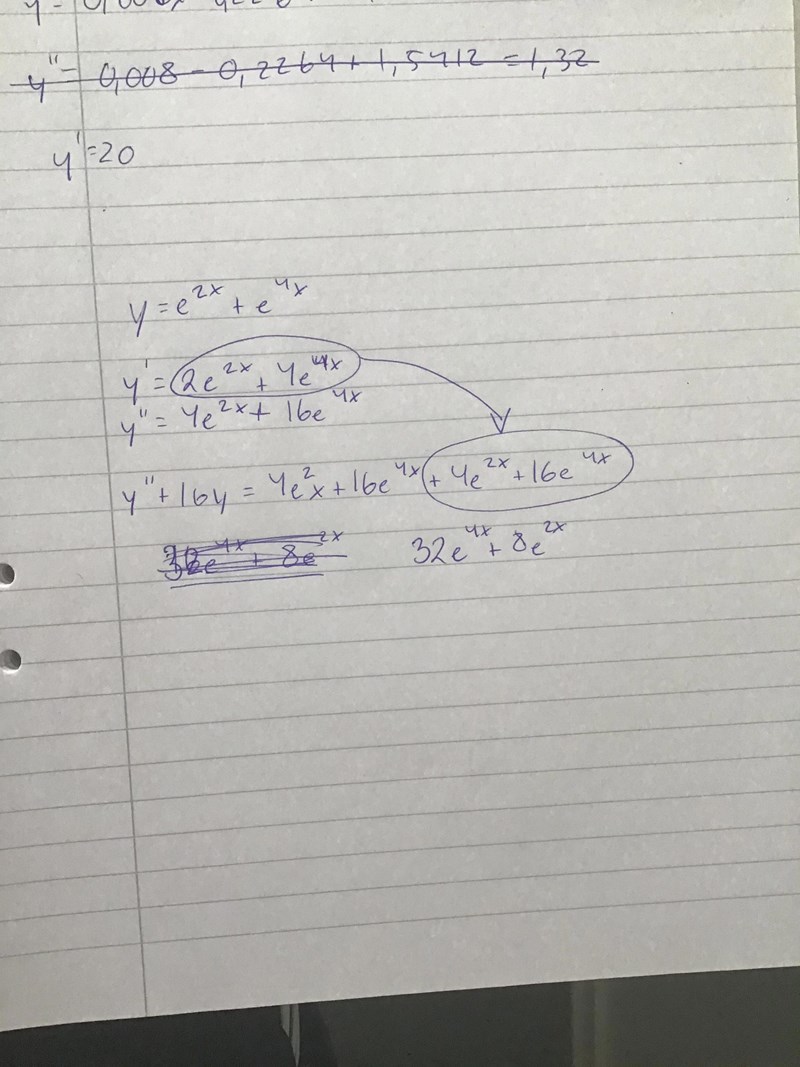
detta är min uträkning:
Och detta är i facit:

Hur får de till 16e2x? Jag får det till 4e2x
Tänker jag fel när jag tar y’ och sätter in den så?
Uppskattar om någon kan förklara!
De frågar efter y’’ + 16y. Var kommer y’ in i detta?
Hur ska man tänka? Jag förstår inte varifrån 16e2x kommer ifrån
Är det bara att sätta in 16 i funktionen e2x + e4x?