1
svar
72
visningar
Derivering
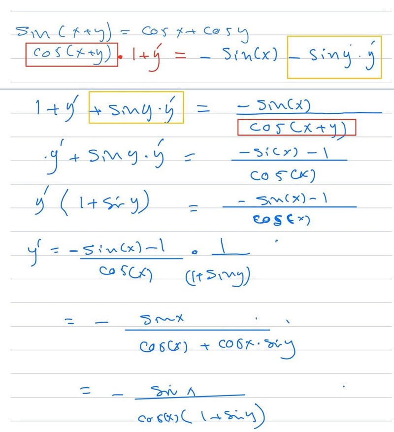
Man ska anväda implicit derivering här, men jag kommer aldrig till samma svar som facit
Någon som ser vad jag gjorde för fel?

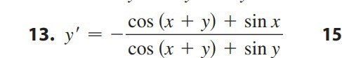
Facit:
Mellan rad 3 och 4 har du minskat VL med 1 men i HL ser det ut som du:
multiplicerat med cos(x+y)
minskat med 1
och avslutat med att dividera med cos(x)
??