2
svar
358
visningar
Ställa865 behöver inte mer hjälp
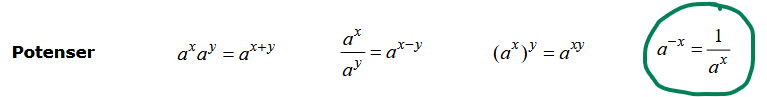
Derivering
Vad har jag gjort för fel? Svaret ska vara

Ditt svar är samma som facits, bara skrivet på ett annat sätt. och .
Tänk på formelsamlingen:
