Derivering av arctan(1/x)
Varför blir denna derivering (enligt facit) ? Jag får den till att x^2 löser ut varandra och kvar blir -1. Eller snarare att den sista förenklingen blir -1. Vad gör jag för fel? 
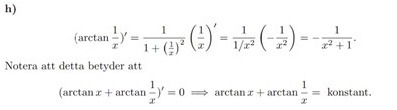
Den andra likheten stämmer inte. Vart försvann 1+ ?
Laguna skrev:Den andra likheten stämmer inte. Vart försvann 1+ ?
Oklart. Facit verkar förmodligen inte stämma. Då kan jag passa på att fråga vad det är för formel personen använder och varför den är lämplig? Varför skrivs det inte bara en inre- och yttre derivata i enklaste form?
Är det inte det man gör?
Notera att . Det står fel mellan andra och tredje likhetstecknet, men svaret är fortfarande korrekt.
Laguna skrev:Är det inte det man gör?
Insåg nu att det gjorde det...tack.
Gustor skrev:Notera att . Det står fel mellan andra och tredje likhetstecknet, men svaret är fortfarande korrekt.
Tack! Det var det som förvirrade mig.
Gustor skrev:Notera att . Det står fel mellan andra och tredje likhetstecknet, men svaret är fortfarande korrekt.
Det var det jag sa, ja.