4
svar
96
visningar
Maddefoppa behöver inte mer hjälp
Derivering av funktioner
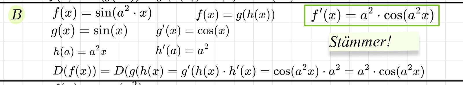
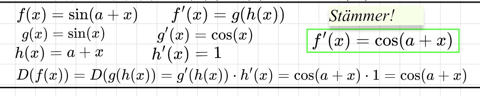
Hej sitter fast på denna uppgift. Tro j ag lyckats derivera A, B & D mha kedjebregeln men vet inte hur jag ska tänka på E. Samt om jag tänkt rätt


Hur ska man tänkapå C?
vet inte heller hur man skulle kunna bevisa att det ska gälla för alla realla tal?
Upptäckte att jag missade skriva in x i B

Så ska det stå för b
Det var ingenting jag löste det:)
