Derivering av invecklad integral , där f_z är en densitetsfunktion (Systemteknik)
Hej!
Hjälp mig begripa denna integral. Är väldigt nyfiken på lösningsstegen man tar emellan de två ekvationerna.
f är en densitetsfunktionen, och F dess motsvarande distributionsfunktion
Någon som klarar av denna utmaning?
Har själv inte lyckats ännu. Vore väldigt tacksam. :)
Hej!
Testa att byta ut integralerna mot vad de är: nämligen att (på mobilen ingen fin formelskrivare) integral från a till b av f(x)dx är F(b)-F(a), och utnyttja att F'(x) = f(x). Får du till det då?
Har fösökt att få till det med definitionerna du skrev ovan men inte lyckats. Blir svårt i å med x och z i uttrycken men försöker igen
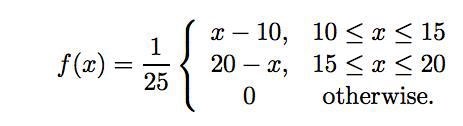
Bifogar densiteten här
Okej. Men det du får är alltså att derivatan av integralen blir ju f(b)-f(a), vilket du redan har uttrycken av (det som står innanför integralen!). Sedan är det ju bara att substituera in det som är i integralens ändpunkter. Vad får du då?
Välkommen till Pluggakuten!
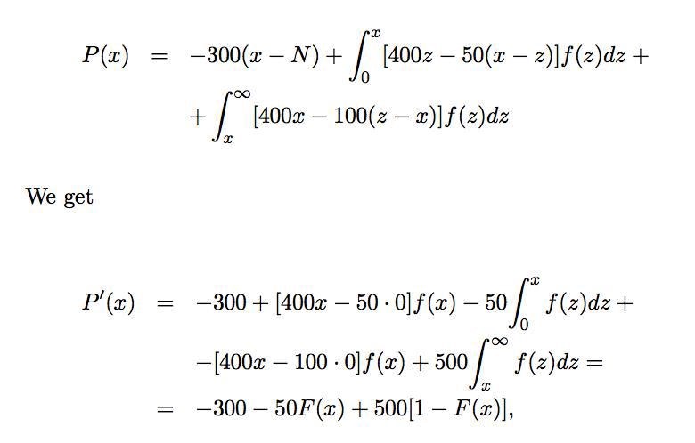
Inför beteckningarna
där
så att du kan skriva
Derivatan beräknas då till
,
där derivatorna och beräknas med hjälp av Leibniz integreringsregel.
,
och om man fuskar med hanteringen av som om symbolen betecknar ett tal (vilket inte är) som är sådant att så får man derivatan
.
Notera att och och och samt att de partiella derivatorna är och vilket ger
Fantastisk regel, tack!
Inom integraltecknet i både G' och H' ovan saknas för denna fråga även multiplikation med densiteten f_z(z)
La till den i mina antecknar och får lösningen jag bifogat högst upp*
crystalu skrev:Inom integraltecknet i både G' och H' ovan saknas för denna fråga även multiplikation med densiteten f_z(z)
La till den i mina antecknar och får lösningen jag bifogat högst upp*
Oj, jag glömde att inkludera funktionen i integralerna; då blir det helt andra resultat när man deriverar än de som jag tidigare skrev.
Inför beteckningarna
där är ett fixerat tal,
så att funktionen kan skrivas
;
tanken är att derivera med avseende på och se vad som händer med derivatan när ; då litar jag på att det går att byta plats på derivering och gränsövergång så att
där .
Med integreringsregeln får man derivatorna
och
.
Det ger derivatan
där är fördelningsfunktionen för täthetsfunktionen .
Det gäller att och när , vilket visar att