4
svar
178
visningar
Bu303 behöver inte mer hjälp
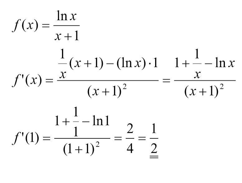
Derivering kvotregeln

Försöker att förstå hur (x+1) gick till att bli 1 under deriveringen?
Derivatan av (x+1) är 1.
Yngve skrev:Derivatan av (x+1) är 1.
Aa fast, jag hade redan deriverat de och enligt kvotregeln borde man först derivera nämnaren, sedan nämnaren, således:
1/x * ( x+1)..
Kvotregeln säger att derivatan av , där g och h är funktioner, ges av:
I det här fallet är alltså och . Deras derivator är och . Vad får du när du sätter in dem i formeln?
Jag förstår inte riktigt vad du menar.
Jag föreslår att du gör så här för att slippa hålla så mycket i huvudet samtidigt:
Kvotregeln: Om så är .
I ditt fall är och (och ).
Det betyder att och att .
Pussla nu ihop uttrycket för med hjälp av dessa komponenter.