Derivering med hjälp av Mathematica
Hej!
Jag skulle behöva hjälp med att använda Mathematica vid derivering. Jag tror att jag matar in fel på något sätt och att det därför inte blir rätt beräkningar. Hoppas att någon kan titta på detta och hjälpa mig.
Uppgiften är

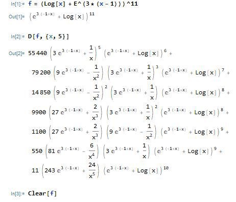
Jag har börjat så här men vet inte om jag uttryckt funktionen riktigt. Kallas Ln för Log i Mathematica?
Har jag gjort rätt slags parenteser eller ska jag byta ut mot hakparenteser på fler ställen. Har jag uttryckt på rätt sätt?

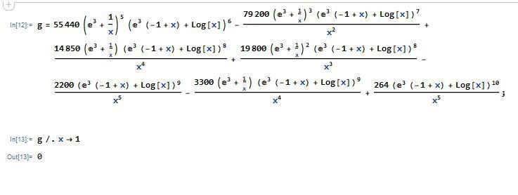
Jag har sedan kallat det långa uttrycket som jag fick ut för g och vill visa vad g(x) är när x=1.

Men 0 är inte rätt svar enligt facit. Jag vet inte vilket som är det rätta svaret. Misstänker att jag gjort något fel i första steget när jag vill derivera funktionen femgånger, dvs ta femtederivatan av .
Tacksam för hjälp!
Vanligtvis brukar du få bra med hjälp genom att titta i biblioteket för programmet.
Ja, jag har använt hjälpmenyn en hel del. Men det är ändå svårt i början.
Tips: Sånt här brukar vara relativt enkelt att dubbelkolla i Wolfram Alpha.
Prova att räkna ut det där, och se om du själv kan komma fram till om du har skrivit in uttrycket fel, genomfört deriveringen på fel sätt eller evaluerat fel - eller om det helt enkelt är fel i facit.
Har du matat in rätt funktion?
e^(3*(x-1)) ≠ e^3*(x-1)
FRÅGA
Länkarna till WolframAlpha tar mig till inmatningsfält, där oggih har lagt in kommandon. Sedan kommer jag inte längre. Hur gör jag för att se vad WolframAlpha kommer fram till?
Tack oggih!
Jag använde ditt andra exempel från Wolfram Alfa och la till ett plus innan e. Då fick jag rätt svar. 
I Mathematica ser det ut så här:

