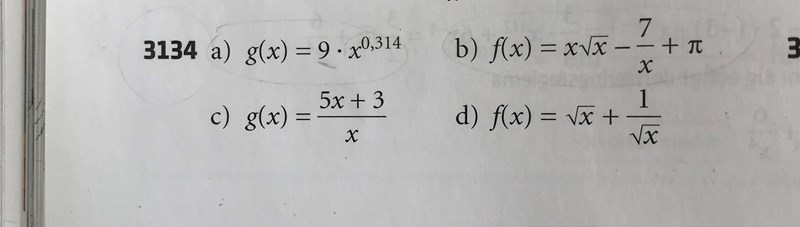
Derivering på potensfunktioner
Hej!
Jag håller på att räkna ut potensfunktioner med hjälp av derivieringsreglerna men vid varje uppgift blir det alltid något fel. Vad är det i mina uträkningar som går snett?
På uppgift 3134 A, undrar jag varför man måste ha kvar 9 i uträkningen? Eftersom att konstanterna i tidigare avsnitt har försvunnit när man deriverat. Ex. 9=0. Varför har man kvar det nu?
På B uppgiften, undrar jag vart jag har räknat fel? Desamma gäller på uppgift C.
tacksam för alla svar och förklaringar!
På a, det gäller att
Hur vet jag när man ska använda den regeln och när konstanten är noll?
Om du har scenariot ovan (se mitt tidigare inlägg) så häller den regeln alltid. Om du har dock + eller minus en konstant är det alltid 0 om du deriverar.
Det är rätt enkelt att bevisa om du inte är övertygad, ställ upp derivatans definition så ser du snabbt att regeln ovan gäller. :)
Okej då förstår jag! Tack för hjälpen :)

Hej!