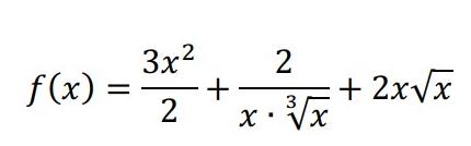
deriverings regler
jag deriverar 3x^2/2 =får det till 6x/2 förenklar till 3x
på 2/x * (3-rot-x) ska jag dela upp den och derivera x med 2 och låta 3-rot deriveras med 1 alltså att jag bryter ut den 2/x * 1/3-rot-x eller kan jag multiplicera x en med varandra sedan derivera ?
2x = 2
rot X = x^1/2 = 1/2x^-1/2
=3x-2/x^2 * -1/3x^4/3 + 2 * 1/1x^1/2 <-- stämmer det här för känns lite konstigt
Hej.
Jag förstår inte riktigt vad du menar.
Det finns ett par räkneregler du kan använda här:
- Om f(x) är en summa av termer så är f'(x) lika med summan av termernas derivator, dvs du kan derivera termerna var för sig.
- Med hjälp av potenslagen så kan du skriva om den sista termen och nämnaren i mittentermen.
- Med hjälp av potenslagen så kan du skriva om den sista termen och nämnaren i mittentermen ytterligare.
- Med hjälp av potenslagen så kan du skriva om mittentermen till något som är enklare att derivera.
ska undersöka tack
Yngve skrev:Hej.
Jag förstår inte riktigt vad du menar.
Det finns ett par räkneregler du kan använda här:
- Om f(x) är en summa av termer så är f'(x) lika med summan av termernas derivator, dvs du kan derivera termerna var för sig.
- Med hjälp av potenslagen så kan du skriva om den sista termen och nämnaren i mittentermen.
- Med hjälp av potenslagen så kan du skriva om den sista termen och nämnaren i mittentermen ytterligare.
- Med hjälp av potenslagen så kan du skriva om mittentermen till något som är enklare att derivera.
kan det här stämma ?
Ja det är.rätt.
Men du bör nog skriva om mittentermens nämnare till .
Yngve skrev:Ja det är.rätt.
Men du bör nog skriva om mittentermens nämnare till .
tack så mycket för hjälpen <3 god jul på dig