5
svar
110
visningar
luckypants behöver inte mer hjälp
Deriveringsproblem
Hej!
Jag har stött på patrull när jag försökt lösa följande:
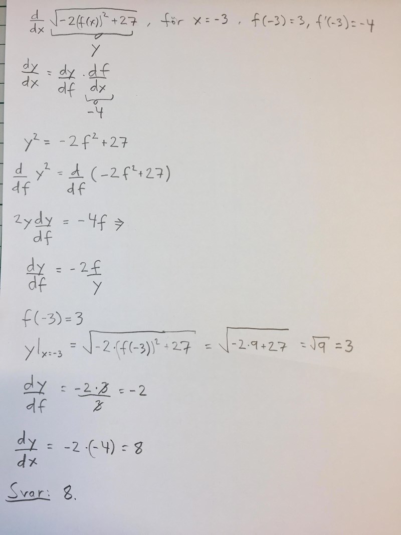
för x=-3
och givet är att f(-3)=3 samt f'(-3)=-4
Tänker att man deriverar med yttre och inre derivata på något sätt och sen sätter in värdena för f(-3) och f'(-3) men får fan inte till det...
Några tips?
/peace
Den yttre derivatan kommer att bli:
Sedan behöver du bara multiplicera med den inre derivatan, d.v.s.
Vad blir detta?
inre derivatan blir
yttreinre =
och insättning ger
= =8
Kan det vara korrekt?
ska vara , naturligtvis
Jag får också svaret , men löste den på ett lite annat sätt, se nedan:

Grymmers! Tusen tack för hjälpen!!!