Deriveringsregler
Visa spoiler
Skriv ditt dolda innehåll här
Hej!
1)
√x kan man derivera till x 1/2. Jag ser mycket x-1/2 som deriveras till √x, spelar det någon roll om 1/2 är positivt eller negativt eller beror det på ekvationen?
2)
Man kan exempelvis derivera 4x-1/2 till 4/√x.
Man kan även derivera 0,4x-0,6 till 0,4/x0,6.
Kan man då på samma sätt derivera 6x-1/3 till 6/x1/3? För det fick jag fel på när jag svarade med det svaret.
3)
Kan man derivera x0,5 till 0,5x-0,5? För då kan ju √x bli både x1/2 och 1/√x.
Jan Ragnar skrev:
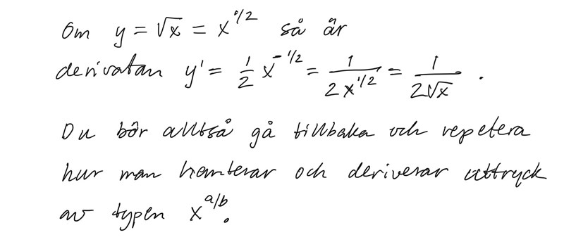
Så om man deriverar √x blir det alltså alltid 1/2√x?
Jan Ragnar skrev:
Jag har nu repeterat men är fortfarande lite förvirrad. √x blir 1/2√x men 6√x blir 3/√x. Ska inte 6√x bli 3/2√x? Jag syftar på detta: 
Hur mycket är ? 3 eller3/2?
Smaragdalena skrev:Hur mycket är ? 3 eller3/2?
Okej, jag förstår. Så ex 3/4 skulle då bli 3/4√x?
Menar du att f(x) = ? I så fall kan vi skriva om det till f(x) = 0,75x0,5 och derivatan blir f'(x) = 0,75.0,5x-0,5 = .
Smaragdalena skrev:Menar du att f(x) = ? I så fall kan vi skriva om det till f(x) = 0,75x0,5 och derivatan blir f'(x) = 0,75.0,5x-0,5 = .
Okej. Så tänker jag rätt om jag deriverar 2/4*√x till 1/4√x?
Menar du eller ? I båda fallen borde man väl börja med att förenkla 2/4 till 1/2?
Smaragdalena skrev:Menar du eller ? I båda fallen borde man väl börja med att förenkla 2/4 till 1/2?
Ja, men det har jag gjort. Jag syftade på detta:
Tänker jag rätt? Och hur skulle man göra ifall roten ur tecknet var i täljaren istället för nämnaren?
Om du t ex vill derivera derivatan en gång till har vi som även kan skrivas f'(x) = 0,25x-0,5 så andraderivatan blir f''(x) = 0,25(-0,5)x-1,5 eller .

