1
svar
11
visningar
Deriveringsregler

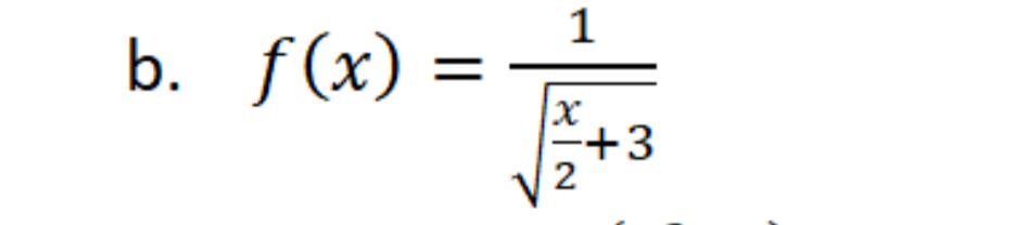
Hur deriverar man denna? ska man använda kvotregelern eller deirvata från matte 3?
Skriv f(x)=(x/2 +3)-1/2 och använd kedjeregeln.