Derivta matte 3b

Jag tror att f(a)= 5a+c men vet inte vad f(b) är och vet därför inte hur jag ska gå vidare. Jag antar att jag måste ta fram f(b) för att sedan kunna räkna med f'(b). (Enligt facit är f ' (a)-f ' (b) = 30)
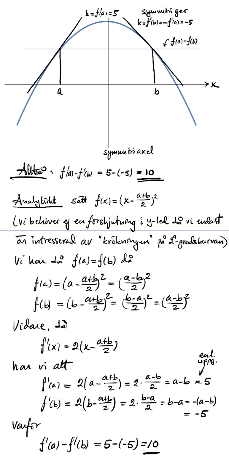
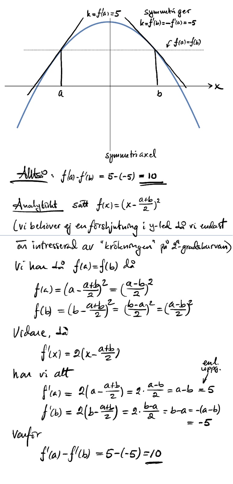
Facit har fel, skall vara 10. I räkning nedan antar jag a<b.
Visa spoiler

Få människor skulle kalla 5x+c för en andragradsfunktion, du behöver en term också, men visst en urartad andragradare med koeeficienten 0 för termen är det ju...
En andragradsfunktion f(x) =
Första villkoret ger
andra ger 2ta + u = 5 dvs a= 2.5/t
och vi söker 5 - 2tb -u
Alldeles för många okända!
Vad göra? Vi kollar runt lite - kanske finns det en riktigt enkel andragradare som uppfyller
villkoren med två välvalda a och b, det skulle kunna ge oss uppslag till lösningen.
f(x) = är väl den enklaste, med derivatan 2x så då väljer vi a=2,5 från villkor 2
och då blir b= -2,5 från villkor 1. Derivatan i b är -5 och deras skillnad är 10 inte 30.
Alltså finns det minst en andragradsfunktion och två punkter som uppfyller villkoren men har en annat svar.
Kanske finns det andragradsfunktioner som ger vilket svar som helst.
Andragradaren har en symmetrilinje x = c och en topp (eller botten) i (c, f(c)).
Då kan ekvationen skrivas f(x)–P = K(x–c)2 för konstanter K och P.
Det ger att a–c = c–b
Jag har gjort en tydligare lösning längre ned #7

Jag ser inget i uppgiften som säger att funktionen måste vara symmetrisk kring x = c .
(Utom att annars har problemet ingen lösning)
Även en andragradare som 'lutar' alltså har en koefficient för x-termen som inte är noll skär ju en massa horisontella linjer så att vi kan hitta en massa punkter där f(a)=f(b) och om vi väljer ett par där f´(a) är 5 så är aldrig -5 i b (utom i särfallet med en upprätt parabel)
farfarMats skrev:Jag ser inget i uppgiften som säger att funktionen måste vara symmetrisk kring x = c .
(Utom att annars har problemet ingen lösning)
Även en andragradare som 'lutar' alltså har en koefficient för x-termen som inte är noll skär ju en massa horisontella linjer så att vi kan hitta en massa punkter där f(a)=f(b) och om vi väljer ett par där f´(a) är 5 så är aldrig -5 i b (utom i särfallet med en upprätt parabel)
Good point. Men en ”lutande” andragradskurva är ingen funktion (x, f(x)) eftersom (nästan) varje x i definitionsmängden har två f(x) i värdemängden. Att det är en funktion framgår ju av uppgiften.
Dessutom, detta är Matte3, där har man nog bara mött f(x) = Ax2+Bx+C, så det kan väl anses underförstått.
queenjulia, det blev litet rörigt här.
Om vi utgår från andragradaren y = x2 (du vet kanske hur den ser ut) så kan den flyttas c steg i x-led genom att vi skriver y = (x–c)2
Om c är positivt flyttar vi åt höger, om c negativt åt vänster (spontant tänker man tvärtom).
Vi kan flytta P steg upp eller ned genom att skriva y = (x–c)2 + P
Vi kan göra den ”smalare” eller ”bredare” genom att skriva y = K(x–c)2 + P.
Om K positivt så är ”toppen” nedåt, om K negativt så är den uppåt.
Vi kan alltid ersätta y = Ax2+Bx+C med y = K(x–c)2 + P.
Här är x = c symmetrilinje för parabeln.
Nu tar vi lösningen:
f(a) = f(b) ger K(a–c)2 + P = K(b–c)2 + P
Det ger (a–c)2 = (b–c)2. (K kan inte vara 0 för då är det ingen andragradare)
dvs (a–c) = ± (b–c) (*)
+ ger att a = b, men det strider mot förutsättningen.
Alltså (a–c) = –(b–c)
Nu tar vi derivatan
f’(x) = 2K(x–c)
f’(a) = 2K(a–c)
f’(b) = 2K(b–c). Enligt (*) ovan är det lika med –2K(a–c), dvs
f’(b) = –f’(a) = –5
så f’(a) – f’(b) = 5 – (–5) = 10
Vad man kan lära sig av denna uppgift är att en andragradare med symmetrilinje x = c och ”topp” för y = P kan skrivas
y = K(x–c)2 + P
K positivt ger att toppen pekar nedåt, K negativt ger att den pekar uppåt.
Om du har ett grafritande program kan du sätta in olika värden för K och P så ser du om jag talar sant. Denna omskrivning är värdefull i flera sammanhang.
Tack Marylin
du har helt rätt. Sneda parabler kan inte vara funktioner vilket jag borde varit den första att inse. Men inte den här gången...