1
svar
106
visningar
Derveringsproblem
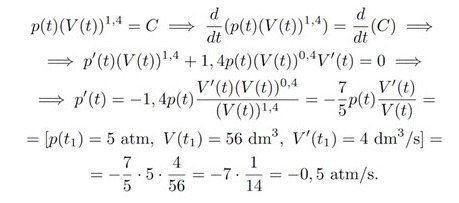
Jag förstår inte riktigt vilken deriveringsregel som tillämpas i facit nedan.

Min metod hade varit att använda:
![]()
Varför läggs det till en V'(t) på rad 2 och varför funkar inte formeln ovan?
swaggerdabber44 skrev:[...]
Min metod hade varit att använda:
Varför läggs det till en V'(t) på rad 2 och varför funkar inte formeln ovan?
Det är precis den formeln (produktregeln) de har använt, med f(x) = p(t) och g(x) = (V(t))1,4..
Kedjeregeln ger sedan att derivatan av (V(t))1,4 är 1,4*(V(t))0,4*V'(t), vilket är orsaken till den extra faktorn V'(t).