Det blir fel varje gång jag löser uppgiften

Jag har försökt lösa uppgiften i mer än 5 gånger och för varje gång får jag samma svar i slutet som då är fel. Vart är felet i min uträkning? Vill gärna förstå vad för fel jag gör vid förenklingen så att jag kan lösa uppgiften på rätt sätt.
Det ser rätt ut så långt. Hur går det när du förenklar och löser ekvationen?
Hej,
På Rad 4 står det korrekt (men onödigt komplicerat)
Sedan vill du multiplicera med vilket ska ge dig detta:
som kan förenklas till
Multiplicera därefter med för att få
Eftersom beräkningarna hittills skett under förutsättningen att så måste det vara så att
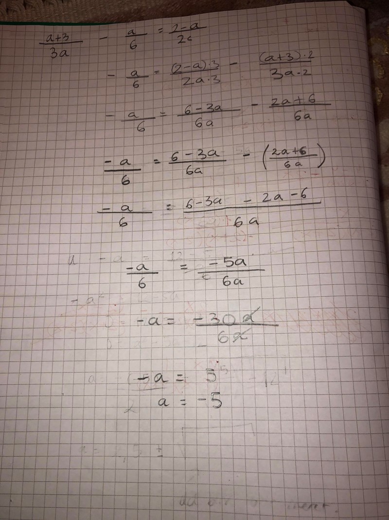
Du har ett fel i din uträkning (se din bild)
På rad 4 förkortar du i VL med 2a
Du stryker 2a i täljaren och skriver 1
Du stryker 18a i nämnaden och skriver 9a Här är felet, det ska vara 9
Sedan blir resten fel såklart
Laguna skrev:Det ser rätt ut så långt. Hur går det när du förenklar och löser ekvationen?
Jag tar tillbaka.
Känner mig helt lost nu

På tredje raden har du i princip 6-3a-(2a+6), för att det är två separata bråk, men du räknar som om det var 6-3a-2a+6.
Nytt försök
solskenet skrev:
Nytt försök
Rätt ända till näst sista raden
Du hade minus på både VL och HL -a = -30a/6a och så "tappade" du minus i HL
jaha okej. Det ska alltså stå
-a=-5
a=5
solskenet skrev:jaha okej. Det ska alltså stå
-a=-5
a=5
Ja. Och sätt in 5 i den ursprungliga ekvationen så ska du se att VL = HL