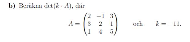
Det(k*A)
Jag har listat ut att det A = 56 och k = -11. Men sedan vet jag inte hur man ska göra för att 56*-11 = -616 men facit säger −74536.
Edit
Räknade: 2*2*5 + 3*3*4 +(-1*1*1) -(5*3*-1) -(4*1*2) -(3*2*1) = 20 + 36 -1 + 15-8-6 = 56
Om du bryter ut en konstant c från en rad eller en kolumn så hamnar den ”utanför” determinanten. Dvs, om du har en matris A med determinant 10, och sedan multiplicerar en rad eller kolumn i A med en konstant c kommer determinanten av den nya matrisen bli c*10. I din uppgift multiplicerar man hela matrisen med en konstant k. Hur många rader/kolumner har man då multiplicerat med?
En för varje rad eller kolumn, så tre i en 3x3 matris och i sådanna fall skulle det vara en 2x2 skulle det var 2?
Är du med på vad en determinant är? Vad jag kan se har du inte räknat någon sådan och om du har, visa hur du räknat.
Elias Sill skrev:En för varje rad eller kolumn, så tre i en 3x3 matris och i sådanna fall skulle det vara en 2x2 skulle det var 2?
Exakt, är du då med på hur du ska beräkna din determinant i detta fall?