Determinantberäkning
Hej!
Denna tentafråga kom upp förra veckan i min kurs och så försökte jag hitta determinanten genom att dividera med 1/10 på rad1,rad2 och rad3 för att underlätta beräkningarna. Dessvärre fick jag ej samma determinant som facit. Jag fick -6 och facit fick 6000 som svar. Borde jag ha undvikit att dela med 1/10 för att få samma svar som facit och varför då isåfall? Varför är mitt svar ej lika ekvivalent som facit?

Läs den här.artikeln, skrolla ner till Egenskaper.
Där framgår det att ditt svar borde bli (1/10)3, dvs 1/1000 av det rätta svaret.
Men det förklarar inte minustecknet.
Om den riktiga determinanten är lika med 6000 så borde du ha kommit fram till svaret 6, inte -6.
Visa hur du räknade så hjälper vi dig att hitta felet.
Yngve skrev:Läs den här.artikeln, skrolla ner till Egenskaper.
Där framgår det att ditt svar borde bli (1/10)3, dvs 1/1000 av det rätta svaret.
Men det förklarar inte minustecknet.
Om den riktiga determinanten är lika med 6000 så borde du ha kommit fram till svaret 6, inte -6.
Visa hur du räknade så hjälper vi dig att hitta felet.
Okej men facit fick 6000 och jag vet ej om man får poäng för att man svarade med 6. Det är förmodligen upp till rättaren,men jag tycker man bör få rätt ändå även om jag valde att förlänga raderna med 1/10. Jag tänker 6000 är en faktor 1000
Determinanten är 6000, så ditt svar är fel.
Om du skulle få poäng eller inte för den lösningen beror nog som du säger på den som rättar.
========
Det du skulle kunna göra är att skriva att du dividerar alla matriselement med 10 för att få enklare beräkningar, och att du är.medveten om att det du då beräknar är Determinanten/1000.
Sedan kan du multiplicera resultatet med 1000 och få fram rätt svar.
Yngve skrev:Determinanten är 6000, så ditt svar är fel.
Om du skulle få poäng eller inte för den lösningen beror nog som du säger på den som rättar.
========
Det du skulle kunna göra är att skriva att du dividerar alla matriselement med 10 för att få enklare beräkningar, och att du är.medveten om att det du då beräknar är Determinanten/1000.
Sedan kan du multiplicera resultatet med 1000 och få fram rätt svar.
Jag har nämnt att jag delade alla rader med 1/10 men jag hänger ej med på varför svaret måste vara 6000. Varför är min determinant fel och varför måste man multiplicera med 1000 för att få 6000? Jag kom fram till att determinanten blev 6 och inget mer. Det hade kanske varit en annan sak om jag lät bli att dividera alla rader med 1/10, då hade jag säkert fått samma svar som facit. Jag var absolut ej medveten om att jag ska multiplicera med 1000 för att få 6000. Det är vad facit säger nu ,men på provet fick jag determinanten till 6 och inget mer. Men jag behöver en förklaring på varför svaret måste vara 6000 och ej 6 ? För isåfall var det nog fel att dividera alla rader med 1/10. Då hade jag bara räknat talen som de är utan att bry mig att de är 30,60 osv..
destiny99 skrev:
Yngve skrev:Determinanten är 6000, så ditt svar är fel.
Om du skulle få poäng eller inte för den lösningen beror nog som du säger på den som rättar.
========
Det du skulle kunna göra är att skriva att du dividerar alla matriselement med 10 för att få enklare beräkningar, och att du är.medveten om att det du då beräknar är Determinanten/1000.
Sedan kan du multiplicera resultatet med 1000 och få fram rätt svar.
Jag har nämnt att jag delade alla rader med 1/10 men jag hänger ej med på varför svaret måste vara 6000. Varför är min determinant fel och varför måste man multiplicera med 1000 för att få 6000? Jag kom fram till att determinanten blev 6 och inget mer. Det hade kanske varit en annan sak om jag lät bli att dividera alla rader med 1/10, då hade jag säkert fått samma svar som facit. Jag var absolut ej medveten om att jag ska multiplicera med 1000 för att få 6000. Det är vad facit säger nu ,men på provet fick jag determinanten till 6 och inget mer. Men jag behöver en förklaring på varför svaret måste vara 6000 och ej 6 ? För isåfall var det nog fel att dividera alla rader med 1/10. Då hade jag bara räknat talen som de är utan att bry mig att de är 30,60 osv..
När du förändrar en matris m.h.a. Gausseliminering och räknar determinanten av den gäller alltid följande regler:
1. Byter du på plats på rader så skiljer sig determinanten av den ändrade matrisen med en faktor -1 jämfört med vad determinanten av originalmatrisen faktiskt är. Detta upprepas för varje radbyte.
2. Bryter du ut en faktor så skiljer sig determinanten med den utbrutna faktorn från vad determinanten faktiskt är. Så om du dividerar allt med 10, kommer du få en matris vars determinant är 10 gånger mindre än den faktiska determinaten av originalmatrisen.
3. Det enda som inte förändrar determinaten är att addera en multipel av en rad till en annan.
Jag vet inte vilket universitet du går eller hur du studerar linjär algebra, men för mig gicks åtminstone dessa regler igenom under en föreläsning om determinantberäkning. De är alltså generella regler.
coffeshot skrev:destiny99 skrev:
Yngve skrev:Determinanten är 6000, så ditt svar är fel.
Om du skulle få poäng eller inte för den lösningen beror nog som du säger på den som rättar.
========
Det du skulle kunna göra är att skriva att du dividerar alla matriselement med 10 för att få enklare beräkningar, och att du är.medveten om att det du då beräknar är Determinanten/1000.
Sedan kan du multiplicera resultatet med 1000 och få fram rätt svar.
Jag har nämnt att jag delade alla rader med 1/10 men jag hänger ej med på varför svaret måste vara 6000. Varför är min determinant fel och varför måste man multiplicera med 1000 för att få 6000? Jag kom fram till att determinanten blev 6 och inget mer. Det hade kanske varit en annan sak om jag lät bli att dividera alla rader med 1/10, då hade jag säkert fått samma svar som facit. Jag var absolut ej medveten om att jag ska multiplicera med 1000 för att få 6000. Det är vad facit säger nu ,men på provet fick jag determinanten till 6 och inget mer. Men jag behöver en förklaring på varför svaret måste vara 6000 och ej 6 ? För isåfall var det nog fel att dividera alla rader med 1/10. Då hade jag bara räknat talen som de är utan att bry mig att de är 30,60 osv..
När du förändrar en matris m.h.a. Gausseliminering och räknar determinanten av den gäller alltid följande regler:
1. Byter du på plats på rader så skiljer sig determinanten av den ändrade matrisen med en faktor -1 jämfört med vad determinanten av originalmatrisen faktiskt är. Detta upprepas för varje radbyte.
2. Bryter du ut en faktor så skiljer sig determinanten med den utbrutna faktorn från vad determinanten faktiskt är. Så om du dividerar allt med 10, kommer du få en matris vars determinant är 10 gånger mindre än den faktiska determinaten av originalmatrisen.
3. Det enda som inte förändrar determinaten är att addera en multipel av en rad till en annan.
Jag vet inte vilket universitet du går eller hur du studerar linjär algebra, men för mig gicks åtminstone dessa regler igenom under en föreläsning om determinantberäkning. De är alltså generella regler.
Jaha okej ja jag läser matematik I på SU så ja de har gått igenom dessa regler enligt mina anteckningar,men jag måste ha slarvat mig igenom detta. Det var en hel del regler att komma ihåg kring determinaten. Men tack för upplysningen!
destiny99 skrev:
[...] Men jag behöver en förklaring på varför svaret måste vara 6000 och ej 6 ? [...]
Läste du artikeln jag länkade till i mitt första svar?
I avsnittet "Egenskaper", står nämligen detta:

Att det(rA) = rn•det(A) innebär att determinanten av (en 3x3-matris multiplicerat med 1/10) är lika med (1/10)3 gånger determinanten av ursprungsmatrisen.
Det är förklaringen till varför ditt svar blir fel med en faktor 1000.
Yngve skrev:destiny99 skrev:[...] Men jag behöver en förklaring på varför svaret måste vara 6000 och ej 6 ? [...]
Läste du artikeln jag länkade till i mitt första svar?
I avsnittet "Egenskaper", står nämligen detta:
Att det(rA) = rn•det(A) innebär att determinanten av (en 3x3-matris multiplicerat med 1/10) är lika med (1/10)3 gånger determinanten av ursprungsmatrisen.
Det är förklaringen till varför ditt svar blir fel med en faktor 1000.
Aa jag läste lite snabbt. Hm så det funkar även med 10^3*det(A)? Jag tror r=10 är bättre eftersom det ger oss 30,0,10 (första raden) osv.
Aa ok men då vet jag.
coffeshot skrev:
2. Bryter du ut en faktor så skiljer sig determinanten med den utbrutna faktorn från vad determinanten faktiskt är. Så om du dividerar allt med 10, kommer du få en matris vars determinant är 10 gånger mindre än den faktiska determinaten av originalmatrisen.
Den här regeln är felformulerad. En mer korrekt formulering är
2. Om alla elementen i en rad eller kolonn multipliceras med en konstant , så multipliceras determinanten med .
Vill man bryta ut ur alla rader i en -matris multipliceras alltså den kvarvarande determinanten med

destiny99 skrev:
Aa jag läste lite snabbt. Hm så det funkar även med 10^3*det(A)? Jag tror r=10 är bättre eftersom det ger oss 30,0,10 (första raden) osv.
Nej, om så är .
Om vi nu sätter så blir och vi får då att
.
Determinanten blir då alltså för stor med en faktor 1000.
===========
Men om vi istället sätter så blir och vi får då, som sagt, att
.
Yngve skrev:destiny99 skrev:Aa jag läste lite snabbt. Hm så det funkar även med 10^3*det(A)? Jag tror r=10 är bättre eftersom det ger oss 30,0,10 (första raden) osv.
Nej, om så är .
Om vi nu sätter så blir och vi får då att
.
Determinanten blir då alltså för stor med en faktor 1000.
===========
Men om vi istället sätter så blir och vi får då, som sagt, att .
Okej ,men vi vill ju ha svaret 6000 eller hur? Vilken r ska man då välja?
Du gjorde rätt med att välja r = 1/10 från början. Problemet var att du trodde att determinantens värde inte påverkades av den multiplikationen. Men det gör den.
Eftersom den påverkas med en faktor (1/10)3 = 1/1000 så var den determinant du beräknade en faktor 1000 gånger för liten.
Så här:
- Du vill beräkna determinanten av A. Vi kallar den D
- Du väljer r = 1/10 och multiplicerar A med 1/10 för att få enklare beräkningar.
- Du beräknar nu determinanten av rA. Du kommer fram till vördet 6.
- Nu gäller det enligt tidigare svar och räkneregeln jag hänvisade till att 6 = r3*D = (1/10)3*D = (1/1000)*D
- Dvs att den sökta determinanten D = 1000*6 = 6000
===== Räkneregeln: =====

Yngve skrev:Du gjorde rätt med att välja r = 1/10 från början. Problemet var att du trodde att determinantens värde inte påverkades av den multiplikationen. Men det gör den.
Eftersom den påverkas med en faktor (1/10)3 = 1/1000 så var den determinant du beräknade en faktor 1000 gånger för liten.
Så här:
- Du vill beräkna determinanten av A. Vi kallar den D
- Du väljer r = 1/10 och multiplicerar A med 1/10 för att få enklare beräkningar.
- Du beräknar nu determinanten av rA. Du kommer fram till vördet 6.
- Nu gäller det enligt tidigare svar och räkneregeln jag hänvisade till att 6 = r3*D = (1/10)3*D = (1/1000)*D
- Dvs att den sökta determinanten D = 1000*6 = 6000
===== Räkneregeln: =====
Jag är lite förvirrad nu för att r=1/10 och min det(A)=6000 så (1/10)^3*6000 är ju 6. Det(rA)=det(1/10*6000) menar du?
jag är med på att r=1/10 och det(A)=6000 med uppgiftens matris. Men svaret blir ej 6000 tyvärr vid multiplikation med 1/1000. Jag förstår ej varför du sätter 6=(1/10)^3*D och D som du kallar sökta determinanten.
OK vi försöker så här.
Du har en matris A och du vill beräkna dess determinant, som vi kan kalla a.
För att få enklare beräkningar så multiplicerar du alla element i A med 1/10. Du får då en ny matris B.
Du beräknar den nya matrisens determinant, vi kan kalla den b, och kommer fram till att den är lika med 6, dvs b = 6.
Enligt räkneregeln så gäller det att b = (1/10)3•a, dvs b = (1/1000)•a, dvs a = 1000•b, dvs a = 1000•6, dvs a = 6000.
Den ursprungliga matrisen har alltså determinanten 6000.
Yngve skrev:OK vi försöker så här.
Du har en matris A och du vill beräkna dess determinant, som vi kan kalla a.
För att få enklare beräkningar så multiplicerar du alla element i A med 1/10. Du får då en ny matris B.
Du beräknar den nya matrisens determinant, vi kan kalla den b, och kommer fram till att den är lika med 6, dvs b = 6.
Enligt räkneregeln så gäller det att b = (1/10)3•a, dvs b = (1/1000)•a, dvs a = 1000•b, dvs a = 1000•6, dvs a = 6000.
Den ursprungliga matrisen har alltså determinanten 6000.
Aha okej det låter förståeligt. Determinanten för A är ju lilla a= 6000 och den beräknade a enligt regeln att b= (1/10)^3*6000 visar bara att den nya matrisen B vars determinant är 6 ger oss samma determinant som var a=6000 i början. Tack för hjälpen!
destiny99 skrev:
Aha okej det låter förståeligt.
Bra. Vi kan kolla om det sitter.
Jag vill att du beräknar deteminanten för matrisen på liknande sätt som du gjorde med matrisen i uppgiften, dvs genom att först multiplicera med och sedan beräkna determinanten för den nya matrisen.
Yngve skrev:destiny99 skrev:Aha okej det låter förståeligt.
Bra. Vi kan kolla om det sitter.
Jag vill att du beräknar deteminanten för matrisen på liknande sätt som du gjorde med matrisen i uppgiften, dvs genom att först multiplicera med och sedan beräkna determinanten för den nya matrisen.

Nu förstår jag inte vad du gör.
Jag skrev att du skulle multiplicera A med 10 men du ser ut att multiplicera A med 1/10 istället.
Gör så här:
- Utgå från matrisen
- Multiplicera denna matris med 10.
- Du får då en ny matris B.
- Hur ser matrisen B ut?
- Beräkna nu determinanten av B.
- Vad blir den?
- Vilka slutsatser drar du om determinanten av A?
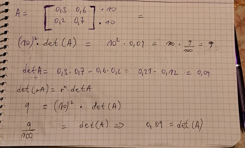
Yngve jag gjorde bara slarvfel och läste r=1/10 och ej 10 som du syftade på. Svaret ska väl bli enligt bilden nedan. Min bild besvarar dina frågor nedan med nya korrigeringar. Annars vill jag passa på att tacka för din hjälp. Jag är nöjd med hjälpen enligt gröna markeringen. Jag känner att jag förstår detta och har inget mer att tillägga.

Nej det var inte alls det jag var ute efter.
Du har inte alls följt steg 1-7 i mitt svar #19.
Jag är inte alls säker på att du förstår tankegången.
Yngve skrev:Nej det var inte alls det jag var ute efter.
Du har inte alls följt steg 1-7 i mitt svar #19.
Okej jag förstår. Men nu är det så att din nya uppgift är utanför uppgiftens fråga och jag har ej möjlighet att göra en ny inlägg om det såvida jag ej känner för det. Jag skrev däruppe att jag har förstått din förklaring osv gällande uppgiften som jag skapade. Men tack för ditt tålamod och förklaringen gällande uppgift 2.
OK vi släpper det.
Men då rekommenderar jag dig att inte använda knepet att multiplicera matriser med konstanter för att få enklare determinantberökningar.
Yngve skrev:OK vi släpper det.
Men då rekommenderar jag dig att inte använda knepet att multiplicera matriser med konstanter för att få enklare determinantberökningar.
Ja absolut. De jag snackade med använde knepet att räkna direkt determinanten av den givna matrisen vilket de upplevde var enklast. Det finns många olika sätt att komma fram till rätt svar,men jag får känslan av att räkna direkt determinanten av A är bättre.
destiny99 skrev:
[...) jag får känslan av att räkna direkt determinanten av A är bättre.
Ja, om det är snälla värden så håller jag med.
Men om vi har en 3x3-matris med element typ 2300, 1400, 6000 osv så blir det lite svårt att hålla reda på storlekarna.
Likewise, om elementen är typ 0,0002 0,001 0,0007 osv.
Yngve skrev:destiny99 skrev:[...) jag får känslan av att räkna direkt determinanten av A är bättre.
Ja, om det är snälla värden så håller jag med.
Men om vi har en 3x3-matris med element typ 2300, 1400, 6000 osv så blir det lite svårt att hålla reda på storlekarna.
Likewise, om elementen är typ 0,0002 0,001 0,0007 osv.
Jo det är sant men än så länge har jag ej blivit testad på det och har ej sett sånt förekomma på gamla tentor eller uppgifter att göra i kursen. Mest har jag sett snälla tal, tiotal och och hundratal.
OK då håller jag med dig om att det är onödigt att använda ngn annan metod.