3
svar
107
visningar
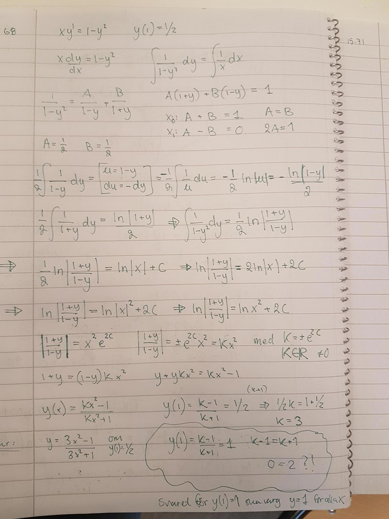
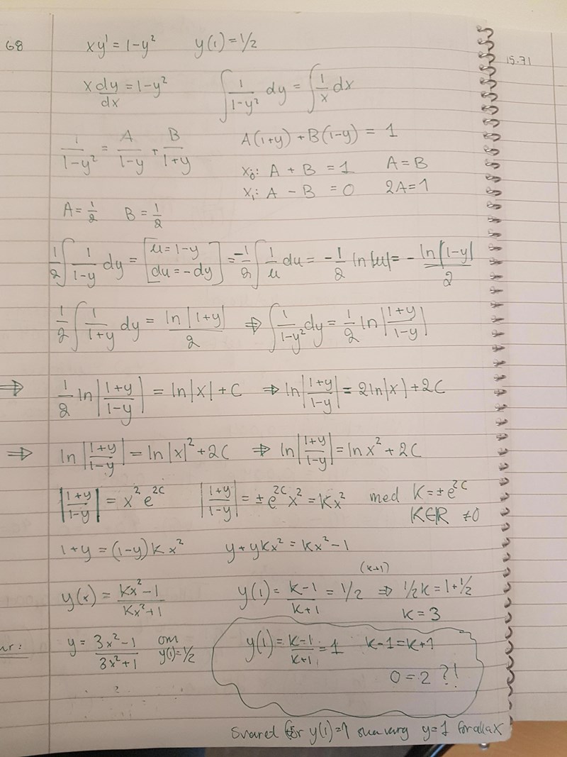
Diff ekv 0=2
En delfråga i uppgiften är om det finns en lösning med y(1)=1. när jag sätter in det i ekv för att lösa ut K får jag 0=2 vilket jag tycker tyder på att lösning saknas, men lösningen är y=1 för alla x. Det borde vara något jag inte förstår. Är det någon som har en aning eller kan förklara?


Sätt in y(1) = 1 i den ursprungliga ekvationen.
Laguna skrev:Sätt in y(1) = 1 i den ursprungliga ekvationen.
Menar du i xy'=1-y --> y'=3/4? Men hur ska jag isf använda det vidare?

Följ Lagunas råd. Ursprunglig ekv: .