Diff.ekv. på andra ordning - komplexa fallet

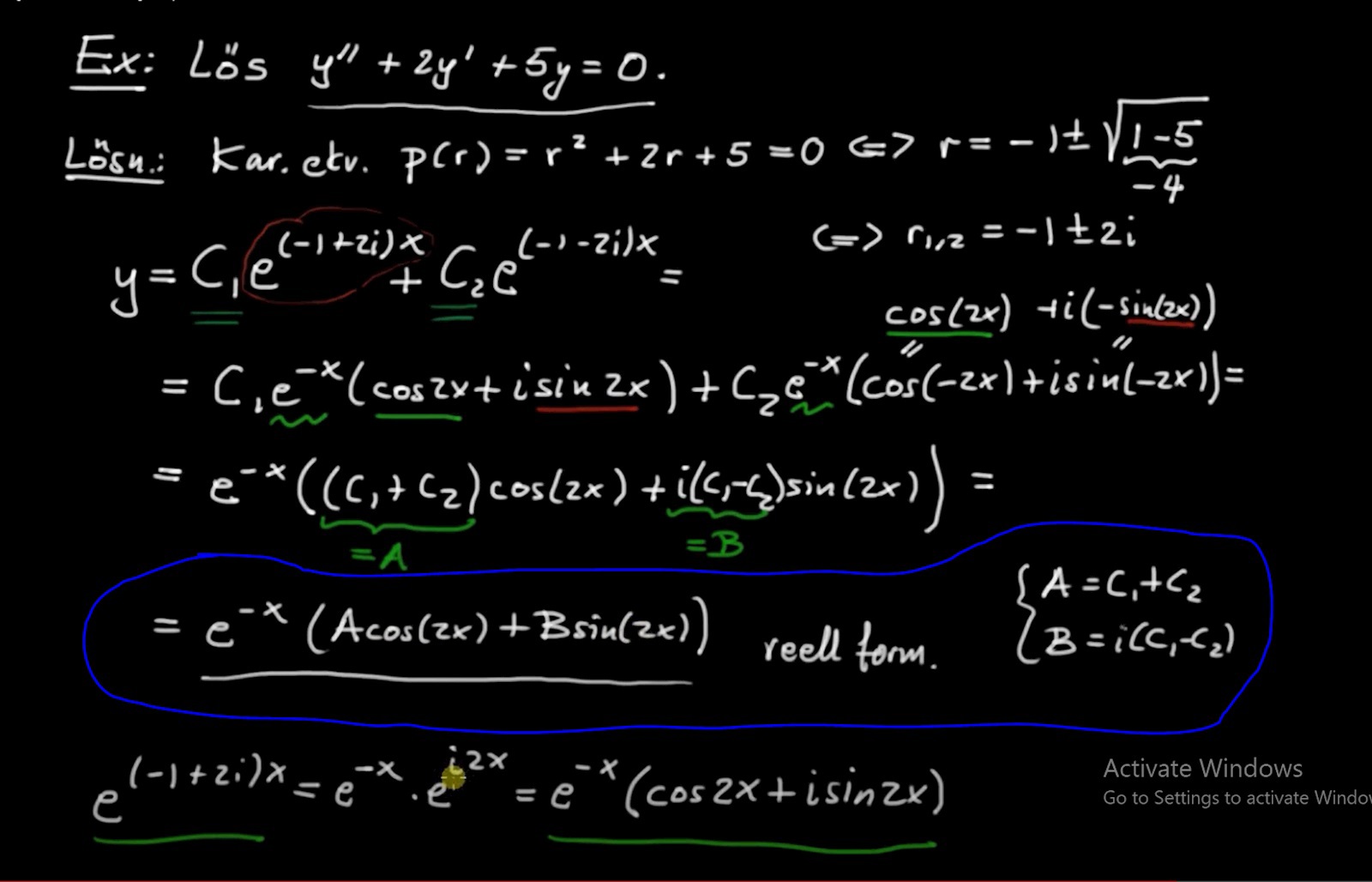
I den blåmarkerat områdena beskrivs hur man räknar ut konstanterna A och B i formeln. Men om A=C1+C2 och B=i(C1-C2) betyder det att A eller B kan vara komplexa tal?
Om A och B är komplexa koefficienter varför säga Måsson att är reell form?
En anna frågan:

Marcus N skrev:
I den blåmarkerat områdena beskrivs hur man räknar ut konstanterna A och B i formeln. Men om A=C1+C2 och B=i(C1-C2) betyder det att A eller B kan vara komplexa tal?
Om A och B är komplexa koefficienter varför säga Måsson att är reell form?
Det stämmer att A och B kan vara komplexa.
Varför Månsson kallar det reell form tror jag att du får fråga Månsson. Men det är viktigt att notera att C_1 och C_2 kan väljas så att A och B är reella. Så om vi vill begränsa oss till reella lösningar så är detta en bra form att skriva det på, då kräver vi bara att A och B är reella.
Marcus N skrev:En anna frågan:
Skilj på B och beta.

