2
svar
136
visningar
nyfikenpåattveta behöver inte mer hjälp
Diffekvation
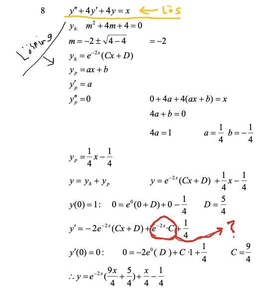
Hej, har någon tid att svara på uttrycket som jag har rödmarkerat i bilden nedan kommer ifrån?

Först vill jag bara påpeka ett fel på raden ovan det du markerat. Det står 0= men borde stå 1=
De har räknat med 1 men skrivit 0
Till din fråga:
Du har fått vad y är (2 rader ovan din markering). Testa att derivera det för att få y'.
Tips: du kommer att ha en produkt och använda produktregeln som ger den term du undrar över.
Jamenjuste tack!!