6
svar
191
visningar
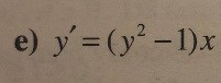
diffekvation


Hur löser man ut y här?
y - 1 = (y + 1) - 2
Dr. G skrev:y - 1 = (y + 1) - 2
Hur fick du det?
y - 1 = yCex2 + Cex2
y (1 - Cex2) = Cex2 + 1
y = (Cex2 + 1) / (1 - Cex2)
Eller hur?
Ja, din metod går lika bra
Dr. G skrev:Ja, din metod går lika bra
Dock så var det ett villkor i uppgiften y(0)=0 vilket inte skulle gå då nämnaren skulle bli 0
Kicke21 skrev:Dr. G skrev:Ja, din metod går lika bra
Dock så var det ett villkor i uppgiften y(0)=0 vilket inte skulle gå då nämnaren skulle bli 0
Jag tror den här är lösningen.
y(0) = 0 ger C3 = -1, vilket går bra (ingen nolldivision).