1
svar
127
visningar
Kicke21 behöver inte mer hjälp
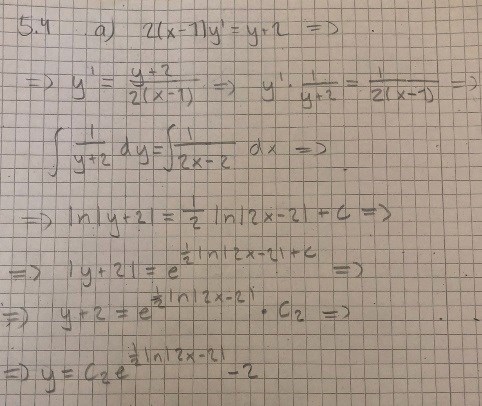
diffekvation


Stämmer detta? Och isåfall hur får man ut vad ska vara med villkoret y(2)=1 utan miniräknare?
e0,5ln(4)
utnyttja en logaritmlag så får du
0,5 ln(4) = ln(2)
eln(2) = 2