Diffekvation
Jag ska hitta alla lösningar till ekv högst upp, och kommer till den längst ner. Så långt rätt enl facit, men sen låser sig hjärnan, hur kommer jag vidare? Svaret ska bli -2. 
Handlar det bara om att ta fram en partikulärlösning till ekvationen?
I så fall skulle jag bara göra en ansats med där är en konstant eftersom det är vad du har i högerled.
Jag ska hitta alla lösningar till samma ekv med 4ex-8x i svaret. Men det var mest zgrejjen som var svår.
Jag förstår inte hur svaret kan bli - 2.Menar du y = -2?
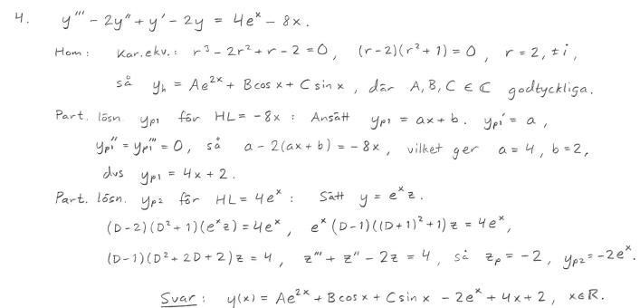
Här är hela, jag är inte helt säker på att jag tolkat den rätt. Men allt utom yp2 får jag fram själv.
Hej!
Differentialekvationen kan skrivas där betecknar differentialoperatorn . Operatorn är linjär vilket medför att om är sådan att
och om är sådan att
så är linjärkombinationen sådan att
Det där var verkligen ren grekiska.. Men jag ser ju nu att jag får en lösning genom att anta att z=k. Finns det bara den lösningen?
Micimacko skrev:Det där var verkligen ren grekiska.. Men jag ser ju nu att jag får en lösning genom att anta att z=k. Finns det bara den lösningen?
Och nu är det du som skriver rena grekiskan. Vad menar du att du ser att en lösning fås genom att anta att z=k. Vad menar du med k? Konstant?
Ja, som alvin skrev högre upp.
Hela poängen med "zgrejen" är att man ska ta reda på vilken slags funktion av den är, och inte följa Alvins råd och anta att den är konstant; om den är konstant så ska du resonera dig fram till detta.
Och hur gör jag det?
Vem har skrivit texten i bilden med uträkningarna? En lärare, en studiekamrat, eller vad? Den där är främmande för mig, även om jag kan se vad det är som händer.
Albiki skrev:Hela poängen med "zgrejen" är att man ska ta reda på vilken slags funktion av den är, och inte följa Alvins råd och anta att den är konstant; om den är konstant så ska du resonera dig fram till detta.
Fast det är väl lika mycket ett antagande att partikulärlösningen över huvud taget är på formen ?
Att göra en ansats på formen tycker jag är ganska logiskt i detta fall eftersom derivatan av i sig är och det då är ganska rimligt att man skulle hitta ett sådant att VL blir lika med .
Laguna skrev:Vem har skrivit texten i bilden med uträkningarna? En lärare, en studiekamrat, eller vad? Den där är främmande för mig, även om jag kan se vad det är som händer.
Det är en gammal tentauppgift med lösningsförslag till.