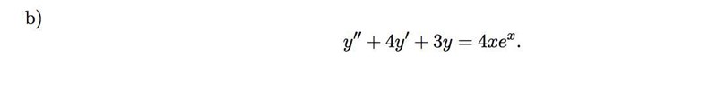
Diffekvation: nästan 2 (eller inte direkt)
Frågan är självexålanatory :)
Jag hittar , däremot när jag gör min variabelbyte blir det fel.
som är fel...
Vad är derivatan av , Daja?
f... det blir fortfarande fel, a=4/3
dajamanté skrev:Frågan är självexålanatory :)
Jag hittar , däremot när jag gör min variabelbyte blir det fel.
Du ska skriva: Ekvationens homogena lösningar är där A och B är godtyckliga reella tal.
som är fel...
Du ska skriva: För att finna en partikulärlösning gör jag ansatsen . Insättning i differentialekvationen låter mig identifiera konstanterna och .
Eftersom aldrig är noll kan jag dividera ekvationens båda led med vilket ger
.
Detta ska gälla för ALLA TAL , vilket bara är möjligt om och det vill säga om och . En partikulärlösning till differentialekvationen är därför
.
Differentialekvationens lösningar är
$$\displaystyle y(x)=Ae^{-3x}+Be{-x}+\frac{1}{8}{4x-3)e^x.$$
DU SKA SKRIVA ALLT DET SOM JAG SKRIVIT.
1: Derivatan av är a, inte ax. Smutstvätt får bakläxa.
2: Jag får det till:
Men jag använder inte den metod du använder. När du satt att , har du redan löst ut . Problemet är då att derivatan av inte blir a, utan derivatan borde vara , på grund av produktregeln. Jag erkänner min ignorans här, och medger att jag inte har full koll på hur din metod används. Vad görs med z efter att a och b är bestämda?
@Albiki: SIR YES SIR!!!!
Mer seriöst, tack för din tid. Jag förstår inte ansättning samt , jag tänkte att reducerades till , och till noll... Men vi kan ta det en annan gång.
@Smutstvätt: Jag ska bara erkänna min total ignorans; jag har uppenbarligen inte koll på min teknik heller så vi bara begräver detta för ett tag.
Språkpolisen informerar!
Begrava. Begräva betyder typ gräva runt om kring, eller klä i grävning (det är inte ett riktigt ord).
dajamanté skrev:@Albiki: SIR YES SIR!!!!
Mer seriöst, tack för din tid. Jag förstår inte ansättning samt , jag tänkte att reducerades till , och till noll... Men vi kan ta det en annan gång.
@Smutstvätt: Jag ska bara erkänna min total ignorans; jag har uppenbarligen inte koll på min teknik heller så vi bara begräver detta för ett tag.
Ansättningen är , vars derivata är , och vars andraderivata är . Bryt ut , och sätt in i ursprungsdiffen, så klarnar det nog. :)