4
svar
89
visningar
dajamanté behöver inte mer hjälp
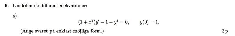
Diffekvation (nästan!!)

Ok, så här gjorde jag:
Så jag trodde att nästa steg var helt enkelt att sätta tangens framför och behålla , men tyvärr måste vi använda oss av tangens dubbelvinkel formeln, men jag fattar inte varför?
Skall inte sista raden vara arc tan(y) = arc tan(x) + c?
Konstanten bestäms av villkoret :
Det gäller att
och additionsformel för tangensfunktion ger
Kontroll: Derivatan är och differentialekvationens vänstra led är
vilket är lika med differentialekvationens högra led.
Tack till båda, nu förstår jag.
När vi har hittat det återstod att ersätta den med .