DIfferenskvoter
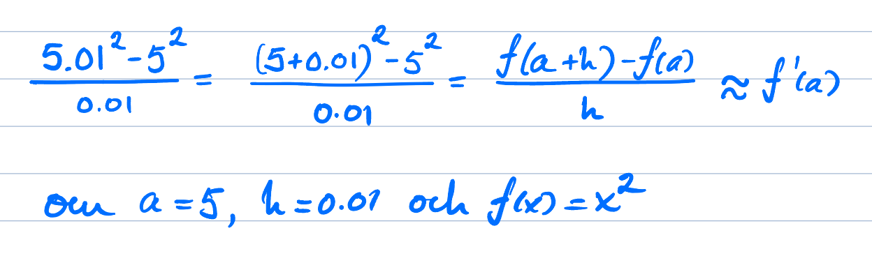
Hej! Jag förstår/ser inte hur jag kan få fram den ursprungliga funktionen till olika differenskvoter som exempelvis . Hur tänker man?
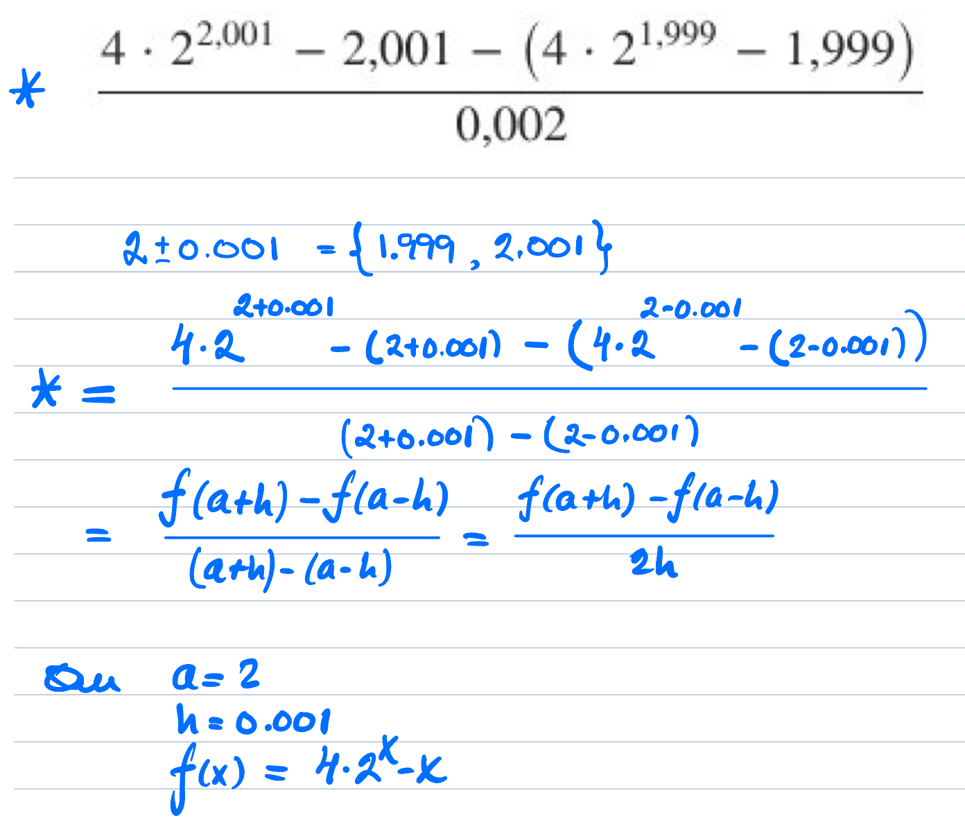
Jag börjar se det. Men om vi tar ett exempel snäppet svårare:

Tack snälla! Förstår dock fortfarande inte hur du slutligen bara kom fram till funktionen. Jag vet att a=2 och h= 0.001, därefter tappar jag tråden..
Man kan misstänka att 2.001 är (a+h). Det är ju "strax över ett annat värde", i det här fallet 0.001 över 2. På samma sätt ser vi att 1.999 är "strax under ett annat värde".
(Det går ju inte att verkligen veta, eller bevisa på något sätt. Det bara "känns bra".)
Sedan ser vi vad vi har gjort med 2.001 i täljaren. Fyra gånger två upphöjt till värdet, minus värdet självt. Till all lycka har vi gjort samma sak med 1.999.
Jag hänger med!!! Tack så mycket

