3
svar
73
visningar
miamiii behöver inte mer hjälp
differenskvoter och derivata
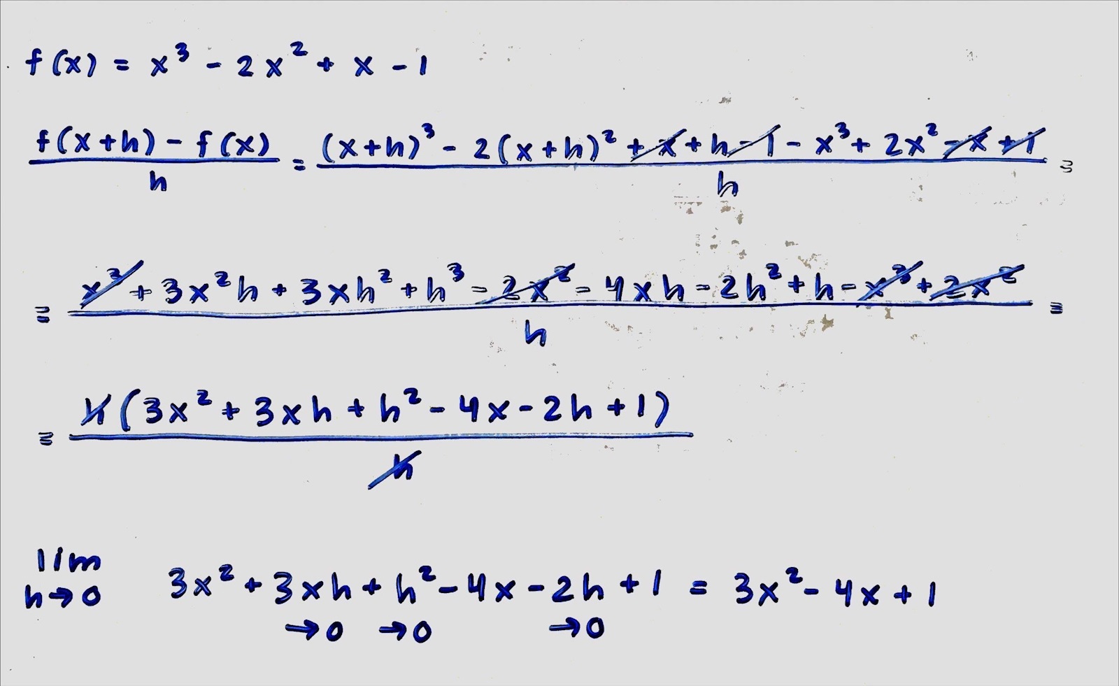
Given är funktionen f (x) = x^3 −2x^2 + x −1.
(a) Ställ upp och förenkla differenskvoten (f (x + h) −f (x))/ h så långt som möjligt.
(b) Beräkna sedan gränsvärdet
lim h→0 (f (x + h) −f (x))/h
Jag vet inte om jag har gjort rätt på a) men kom fram till
(3x^2h+3xh^2+h^3-4x^2-4xh-2h^2+2x+h-2)/h
vet dock inte alls hur jag ska göra på uppgift b)
Du har fått nåt teckenfel på en del av termerna. Det ska gå att dela allting med h.
-4x^2 ska inte vara där, och inte 2x och -2 heller.
nu fattar jag, tack så mycket
