Differential ekvation av andra grad

Jag har två frågor angående denna ekvation och problemlösningen,
1) Jag föredrar att använda integrerande faktor så mycket som jag kan eftersom jag känner mig säkrare med det (konstigt nog). Jag undrade om det fanns ett sätt att forma ekvationen så denna lösningsmetod går? Utöver det undrar jag om det gäller att varje differentialekvation som kan lösas som en separabel också kan lösas genom integrerande faktor.
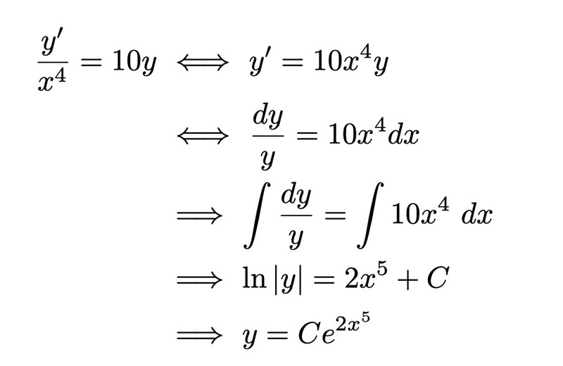
2) När det kommer till det näst sista steget förstår jag inte alls, multipliceras båda sidor med e? Ser inte sammankopplingen alls mellan näst sista och sista rad av lösningen.
Tack!
Jo, om du använder den vanliga formeln för integrerande faktor får du förmodligen samma svar.
På slutet har de upphöjt e till båda sidor.
ln(a) = b => a = eb