2
svar
125
visningar
Differential ekvation system
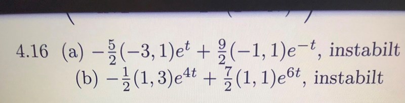
Hej, jag undrar på var gör jag fel, jag har hittat rätt egenvärden och egenvektorer, men koefficienter c1 och c2 som jag beräknar är inte samma som facit
kan någon hjälpa mig 



Det blir fel redan när du ställer upp det. Du ska ha dina egenvektorer i matrisen, inte A.

Så eftersom x0=e1 + e2, kan vi hitta c1 och c2 genom att lösa ekvationssystemet där vi har
e1 + e2 är kolonner i matrisen
tack så jättemycket