Differentialapproximation

Kan man approximera detta med hjälp av differentialer utan att veta vilken punkt man approximerar?
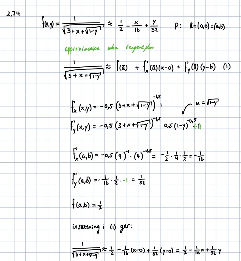
Idén är att beräkna funktionsvärdet och derivatornas värden i origo. Sen använder man dessa för att ungefärligt kunna beräkna funktionsvärden nära origo. Det motsvarar fallet i en variabel där du har en kurva, tangeringspunkt och tangent, och så går du en liten bit längs tangenten för att ungefärligt beräkna kurvans värde i närheten av tangeringspunkten.
Tack!
Ah, så man ska använda sig av Taylors formel av första ordningen i origo vilket egentligen är samma sak som differentialer fast med olika skrivsätt? (Uppgiften är från differentialer kapitlet)
Samma sak är det väl inte, men Taylors formel använder sig av differentialer. Det stämmer att första ordningens Taylor är egentligen vad man gör här (kring origo, så man kan också kalla det första ordningens Maclaurinutveckling).
Skaft skrev:Samma sak är det väl inte, men Taylors formel använder sig av differentialer. Det stämmer att första ordningens Taylor är egentligen vad man gör här (kring origo, så man kan också kalla det första ordningens Maclaurinutveckling).
När du skrev att Taylors formel använder sig av differentialer, menar du att derivatorna av första ord. i Taylors formel är differentialen av f? Vad använder man differentialer till egentligen om man bara kan använda sig av Taylors formel?
Med "differential" menar jag en oändligt liten förändring, som dy eller dx. Idén med oändligt små förändringar är ju det som underbygger allt som har med derivator och integraler att göra och är långt mycket bredare än Taylors formel.
Det låter som att vi använder ordet på olika sätt?
Skaft skrev:Med "differential" menar jag en oändligt liten förändring, som dy eller dx. Idén med oändligt små förändringar är ju det som underbygger allt som har med derivator och integraler att göra och är långt mycket bredare än Taylors formel.
Det låter som att vi använder ordet på olika sätt?
Är differentialen dx och dy samma som för en funktion df, (37) i boken?

I detta fall kan man använda följande formel två gånger:
med (yttre funktionen) samt (inre funktionen).
tomast80 skrev:I detta fall kan man använda följande formel två gånger:
med (yttre funktionen) samt (inre funktionen).
Tack! Är det där en maclaurinutveckling som man kan använda sig av för att uttrycka funktionen i taylor utvecklingen? Är inte helt säker på hur man använder det. Skulle du kunna visa hur man gör?
Min lösning ser ut så här:
