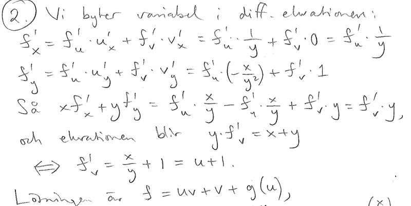
differentialekvation
Här förstår jag inte riktigt varför i slutet man tar gånger g(u) eller plus g(u), vad är det som bestämmer om det ska vara multiplikation eller addition?




Är det hur de går från
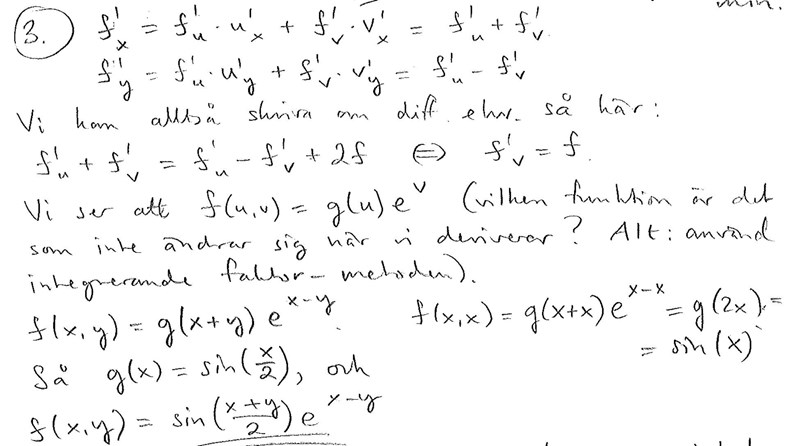
df/dv = f
till
f(u,v) = g(u)*exp(v)
som du undrar över?
I envariabelfallet är lösningen till
df/dx = f
f(x) = C*exp(x)
(Inte f(x) = exp(x) + C, om inte C = 0.)
I tvåvariabelfallet får du låta C (eller då g) vara beroende av den andra variabeln.
Dr. G skrev:Är det hur de går från
df/dv = f
till
f(u,v) = g(u)*exp(v)
som du undrar över?
I envariabelfallet är lösningen till
df/dx = f
f(x) = C*exp(x)
(Inte f(x) = exp(x) + C, om inte C = 0.)
I tvåvariabelfallet får du låta C (eller då g) vara beroende av den andra variabeln.
nja, det jag menar är att ibland är g(u) gånger funktionen:
och ibland:
,förstår inte riktigt när man multiplicerar resp. adderar g(u).
df/dv = u + 1
Derivatan är här explicit given i de oberoende variablerna u och v (fast v-beroende saknas här).
Integrera m.a.p. v. df/dv saknar v-beroende, så allt multipliceras med v när du integrerar. Integrationskonskonstanten blir beroende av den andra variabeln.
f = (u + 1)*v + g(u)
(Kontrollderivera m.a.p v!)
I ditt första fall hade du en derivata som var beroende av funktionen själv.
df/dv = f
Lös den som om det vore en ordinär diffekvation och gör konstanten beroende av den andra variabeln. (Testa sedan lösningen!)