8
svar
320
visningar
Differentialekvation
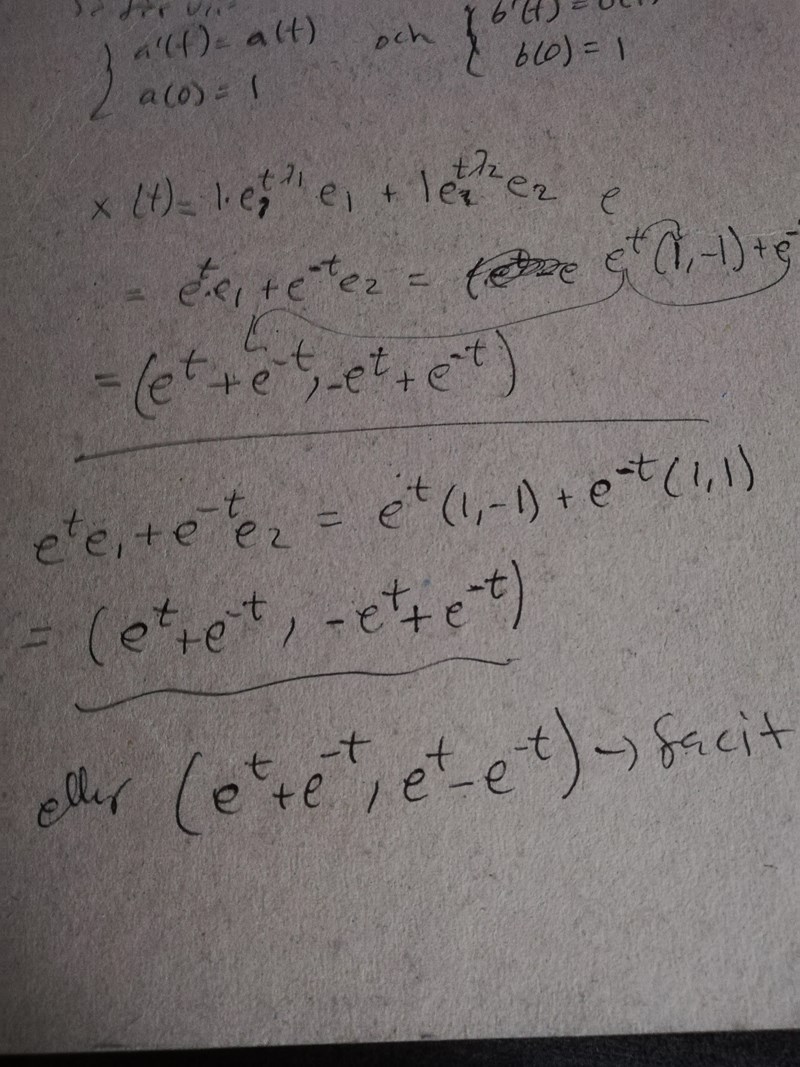
Hej, I sista del av lösningen får jag fel, kan någon hjälpa mig för att se hur jag gör fel.

skriv tydligt vad du behöver hjälp med
hej, jag behöver hjälp med att hur beräknar vi e^t(1,-1)+e^-t(1,1)
Kan du lägga in en bild av uppgiften, så är det lättare för oss att förstå vad du behöver hjälp med.
e^t är bara en skalär. Skalärmultiplikation i R^2 kan du säkert.
Hej, igen beklagar jag skrev otydlig, 

jag bara undrar på hur beräknar man e^t(1,-1)+e^-t(1,1), i sista delen av lösningan.
Hej Ihab,
Dina frågor är alltså följande:
- Hur kommer man fram till att funktionen är lösningen till differentialekvationen där ?
- Hur kommer man fram till att funktionen är lösningen till differentialekvationen där ?
hej, igen, ja det stämmer