Differentialekvation
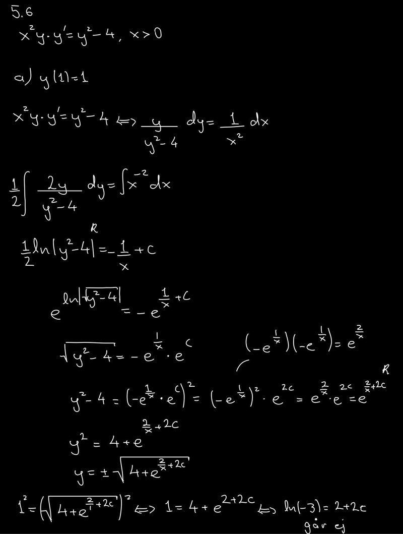
Lös differentialekvationen

Jag vill lösa ut c ur ekvationen men får ju ln(-3) som inte går, kan hända att jag även har fått fel när jag skriver y som funktion av x. All hjälp uppskattas!
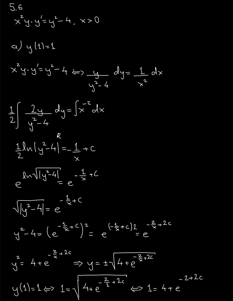
Det blir fel när du sätter beloppet utanför roten, ska behållas innanför. Y är ungefär 1 på området du är intresserad av, så y2-4 är neg.
Cien skrev:Lös differentialekvationen
Jag vill lösa ut c ur ekvationen men får ju ln(-3) som inte går, kan hända att jag även har fått fel när jag skriver y som funktion av x. All hjälp uppskattas!
Rättar mig själv lite :D, när jag sätter e^VL=e^HL måste HL= jag gör om igen och återkommer!
Micimacko skrev:Det blir fel när du sätter beloppet utanför roten, ska behållas innanför. Y är ungefär 1 på området du är intresserad av, så y2-4 är neg.
Ok, har en till fråga, aldrig fattat det här med absolutbelopp, när jag förkortar e med ln, försvinner absolutbeloppet som jag skrivit då?
Jag får nu istället
och får samma problem som tidigare när jag vill lösa ut c
Nej, varför skulle det? Belopp får bara plockas bort när du kan säga säkert att innehållet är positivt. Det kan man iofs med din rot, men den skulle aldrig ha hoppat innanför från början.
Visa hur du fick fram det
Micimacko skrev:Nej, varför skulle det? Belopp får bara plockas bort när du kan säga säkert att innehållet är positivt. Det kan man iofs med din rot, men den skulle aldrig ha hoppat innanför från början.
Om jag har
hur blir jag av med absolutbeloppet så jag kan lösa ut y?
Cien skrev:Micimacko skrev:Nej, varför skulle det? Belopp får bara plockas bort när du kan säga säkert att innehållet är positivt. Det kan man iofs med din rot, men den skulle aldrig ha hoppat innanför från början.
Om jag har
hur blir jag av med absolutbeloppet så jag kan lösa ut y?
Kan man resonera som så att om man ska kunna ta roten av något så måste det ju vara positivit=>y^2-4 är positivt
Det är beloppet du tar roten ur, och det är positivt. För att avgöra tecken behöver du titta på begynnelsevillkoret. Du vill ha en lösning som är nära den, så använd de siffrorna på x och y när du behöver uppskatta storlek på saker.
Micimacko skrev:Det är beloppet du tar roten ur, och det är positivt. För att avgöra tecken behöver du titta på begynnelsevillkoret. Du vill ha en lösning som är nära den, så använd de siffrorna på x och y när du behöver uppskatta storlek på saker.
Så här långt har jag kommit nu 
Du kan fortfarande inte bara trolla bort beloppet...
Är innehållet pos el neg?
Ekvationen |x| = b har lösningen:
lösning saknas, om b < 0
0, om b = 0
b, om b > 0.
Micimacko skrev:Du kan fortfarande inte bara trolla bort beloppet...
Är innehållet pos el neg?
Jag vet inte hur jag ska ta reda på det
Stoppa in ditt begynnelsevillkor.
Micimacko skrev:Stoppa in ditt begynnelsevillkor.
Menar du då x>0?
Nej, du får en punkt som din lösning ska gälla nära. Diffekvationer har ofta olika lösningar i olika områden. I det här fallet får vi veta att x=1 och y=1.
Micimacko skrev:Nej, du får en punkt som din lösning ska gälla nära. Diffekvationer har ofta olika lösningar i olika områden. I det här fallet får vi veta att x=1 och y=1.
Okej så då blir innehållet negativt eftersom 1-4=-3, men varför gör vi ens detta absolutbeloppet gör ju det positivt ändå
Du vill ju bli av med beloppet. Så om innehållet är negativt behöver du ta det gånger -1 innan du plockar bort.